Mathematischer Editor
Sie können mathematische Gleichungen und Formeln in Tests, Aufgaben, Diskussionen und Tagebücher einfügen, indem Sie den math. Editor verwenden. Sie können auch LaTeX-Formeln in jeden Rich-Text-Editor eingeben, bei dem der math. Editor eine Option ist. Der math. Editor und kann in jedem Browser und auf jedem Betriebssystem ausgeführt werden, auch auf Smartphones und Tablets. Wenn diese Option aktiviert ist, rendert MathJax LaTeX-Code, der im Content Editor eingegeben wurde, in unterstützten Bereichen von Blackboard. Wenn MathJax nicht aktiviert ist, rendert Wiris Formeln.
Mathematische Formeln werden im PNG-Bildformat gerendert, das eine größere Dateigröße als das Textformat hat. Es kann bei mathematischen Formeln einige Sekunden dauern, bis das Bild angezeigt wird.
Die Geschwindigkeit der Internetverbindung und die Inhaltsgröße wirken sich auf die Ladezeit aus. Einige Teilnehmer haben möglicherweise Schwierigkeiten, auf Inhalte mit vielen Formelbildern zuzugreifen.
Nachfolgend sind einige Empfehlungen zur Verkleinerung der Formelbildgröße und Ladezeit aufgeführt:
Erstellen Sie jede Formel separat, entweder mit dem math. Editor oder mit LaTeX.
Vermeiden Sie es, Fragenbeschreibungen oder Extratext in den math. Editor oder LaTeX-Code einzubetten. Verwenden Sie stattdessen den Rich-Text-Editor, um Fragen, Anweisungen oder Textbeschreibungen zu verfassen, und verwenden Sie den math. Editor oder LaTeX nur, um mathematische Formeln zu erstellen.
Beispiel: Ein Kursleiter beschreibt in einem Test ein mathematisches Problem zur Beschleunigung. Um die Größe der Inhaltsdatei zu verringern, beschreibt der Kursleiter das Problem und die Variablenwerte direkt im Rich-Text-Editor als unformatierten Text. Der Kursleiter verwendet dann den math. Editor, um die Formel für die Beschleunigung anzugeben.

Verwenden des math. Editors
Greifen Sie auf den math. Editor zu, indem Sie im Rich-Text-Editor das Symbol + auswählen. Wählen Sie im Menü die Option Mathematik aus.

Sie können auf viele Funktionen im math. Editor zugreifen, indem Sie oben verschiedene Registerkarten auswählen.

Verwenden Sie die Tastatur, um Zahlen, Buchstaben und Symbole einzugeben. Wählen Sie das entsprechende Symbol im math. Editor aus, um komplexe Formeln zu erstellen, wie z. B. eine Quadratwurzel.
Tipp
TIPP: Wenn Sie eine Option verwenden, mit der die Textebene für die Formel geändert wird ( z. B. ein Hochstellen oder ein Bruch), verwenden Sie die Pfeiltasten auf der Tastatur, um zur Standardebene zurückzukehren. Es wird empfohlen, die Tastatur zu verwenden, um in einer Formel zu navigieren.

Zu den Optionen zum Erstellen von Formeln im math. Editor gehören:
Grundoperationen: Addition, Subtraktion, Multiplikation, Division, Quadratwurzeln, Exponenten, Brüche
Griechisches Alphabet: Alpha, Beta, Gamma und andere
Matrizenrechnung
Integrale, Ableitungen und Grenzen
Trigonometrische Funktionen: Sinus (sin), Kosinus (cos), Tangens (tan)
Schriftformate und -größen
Die WIRIS-Website enthält detaillierte Informationen zu allen Funktionen des math. Editors.
Verwenden von LaTeX im Rich-Text-Editor
LaTeX ist eine Software, die verwendet werden kann, um ein Bild einer Formel zu erstellen, das auf Codierungskonventionen basiert, die mit nur Text geschrieben wurden. Der Rich-Text-Editor von Learn kann die LaTeX-Codierung rendern.
Anmerkung
Formeln, die in LaTeX auf mehrere Zeilen umgebrochen werden, können vom Rich-Text-Editor in Learn nicht gerendert werden. Mehrteilige Formeln beginnen mit „/begin“ und enden mit „/end“.
Geben Sie eine LaTeX-Formel ein, indem Sie den spezifischen Code innerhalb der $$-Symbole im Rich-Text-Editor schreiben.
Wählen Sie Speichern aus, um zu überprüfen, wie die Formel als Bild angezeigt wird. Sie können zum Rich-Text-Editor zurückwechseln, um die Formel zu bearbeiten, bis sie korrekt angezeigt wird. Einige Aktivitäten, wie Tests und Aufgaben, lassen es nicht zu, dass Teilnehmer im Rich-Text-Editor speichern und eine Vorschau der gerenderten LaTeX-Formel anzeigen. Die Teilnehmer müssen ihre Einreichungen anschließend überprüfen, um sicherzustellen, dass ihre Formel korrekt wiedergegeben wird.
Das Erscheinungsbild der Formeln (wie Fettformatierung oder Änderung der Schriftgröße) kann nicht mit dem Rich-Text-Editor geändert werden. Um Schriftarten oder -größen der Formel zu ändern, können Sie eine beliebige Stelle innerhalb der Formel im Rich-Text-Editor auswählen und dann den math. Editor auswählen. Alle Änderungen, die im math. Editor vorgenommen werden, werden beim Speichern angewendet und zum LaTeX-Code hinzugefügt.
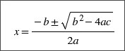
Die quadratische Formel kann in LaTeX formatiert werden.

1. Geben Sie $$ in den Rich-Text-Editor ein.
$$
2. Geben Sie als Nächstes den LaTeX-Code für die Formel ein:
$$x = \frac {-b \pm \sqrt {b^2 - 4ac}}{2a}
3. Schließen Sie die Formel ab, indem Sie am Ende „$$“ eingeben.
$$x = \frac {-b \pm \sqrt {b^2 - 4ac}}{2a}$$

4. Wählen im Rich-Text-Editor Speichern aus. Die mathematische Formel wird als PNG-Grafik angezeigt. Je nach Internetverbindung und Inhaltsgröße kann das Rendern der Grafik einige Sekunden dauern.

5. Wählen Sie im Rich-Text-Editor Bearbeiten aus, um zu Ihrem LaTeX-Code zurückzuwechseln.

6. Bearbeiten Sie Ihre Formel, um Ihren LaTeX-Code als einfachen Text im Rich-Text-Editor zu überschreiben. Fügen Sie beispielsweise +1 an das Ende der quadratischen Formel hinzu.
$$x = \frac {-b \pm \sqrt {b^2 - 4ac}}{2a}+1$$

7. Wählen Sie Speichern, um die Formel als neues Bild zu rendern.

8. Sie können den Stil der Formel weiter anpassen. Wählen Sie im Rich-Text-Editor alles aus, was sich im LaTeX-Code befindet.

Öffnen Sie den math. Editor.

Wenden Sie die Stile an, die Sie für die Formel verwenden möchten. Sie können beispielsweise einen Teil der Formel fett formatieren und die Schriftgröße ändern.

9. Wählen Sie im math. Editor Speichern aus. Der LaTeX-Code für die quadratische Formel mit Ihren Formatanpassungen sieht jetzt wie folgt aus:
$$\style{font-size:36px}{x=\frac{-b\pm\sqrt{\boldsymbol b^{\mathbf2}\boldsymbol-\mathbf4ac}}{2a}+1}$$

10. Wählen Sie im Rich-Text-Editor Speichern aus, um Ihre angepasste Formel als Bild zu rendern.

Barrierefreiheit-Funktionen
Bilder mit mathematischen Formeln sind von hoher Qualität, sodass Benutzer sie vergrößern können und das Bild weiterhin klar ist. Sie können auch die Schriftgröße ändern, um Ihren Kursteilnehmern zu helfen. Größere Schriftgrößen können ihren Kursteilnehmern helfen, die Details einer Formel mit kleinen Zahlen und Symbolen anzuzeigen.
Formeln können während der Erstellung und beim Rendern als Bilder für Bildschirmleser verwendet werden.

Alternativer Text für mathematische Formeln wird automatisch basierend auf Ihren Spracheinstellungen in Ihrem Profil in Learn generiert. Bildschirmleser folgen den Einstellungen Ihres lokalen Geräts, einschließlich Sprache, Geschwindigkeit und Sprechen. Um eine bessere Erfahrung mit Ihrem Bildschirmleser und Alternativtext zu erhalten, stellen Sie sicher, dass Ihre Spracheinstellung in Learn den Einstellungen auf Ihrem lokalen Gerät entspricht.

Anmerkung
Wenn eine Sprache nicht vom math. Editor oder Rich Text unterstützt wird, werden Formeln in englischer Sprache gelesen.