محرر الرياضيات
يمكنك إدراج المعادلات والتراكيب الرياضية في الاختبارات والواجبات والمناقشات اليوميات باستخدام محرر الرياضيات. يمكنك أيضًا كتابة معادلات LaTeX في أي محرر نص منسق حيث يكون خيار محرر الرياضيات متاحًا. يعمل محرر الرياضيات على أي متصفح ونظام تشغيل، بما في ذلك الهواتف الذكية والأجهزة اللوحية. يعرض MathJax عند تنشيطه تعليمات LaTeX البرمجية التي تم إدخالها في محرر المحتوى عبر المناطق المدعومة من Blackboard. إذا لم يتم تنشيط MathJax ، فسيقوم Wiris بتنفيذ المعادلات.
يتم عرض المعادلات الرياضية بتنسيق صور PNG، التي لها أحجام ملفات أكبر من النص. قد تستغرق المعادلات الرياضية بضع ثوان لتظهر قبل عرض الصورة.
تؤثر سرعات اتصال الإنترنت وحجم المحتوى على وقت التحميل. قد يواجه بعض الطلاب صعوبة في الوصول إلى المحتوى الذي يحتوي على العديد من صور المعادلات.
فيما يلي بعض التوصيات الخاصة بخفض حجم صورة المعادلة ووقت التحميل:
يتم إنشاء كل معادلة بشكل منفصل إما باستخدام محرر الرياضيات أو LaTeX.
تجنب تضمين أوصاف الأسئلة أو النص الإضافي داخل محرر الرياضيات أو رمز LaTeX. بدلا من ذلك، استخدم محرر النص المنسق لكتابة أي أسئلة أو إرشادات أو أوصاف نصية واستخدم محرر الرياضيات أو LaTeX فحسب لإنشاء المعادلات الرياضية.
على سبيل المثال، يكتب المدرس مسألة حسابية خاصة بالتسارع في الاختبار. لتقليل حجم ملف المحتوى، يكتب المدرس وصفًا للمسألة وقيم المتغيرات مباشرة في محرر النص المنسق بتنسيق نص عادي. ثم يكتب المدرس معادلة التسارع باستخدام محرر الرياضيات.

استخدام محرر الرياضيات
قم بالوصول إلى محرر الرياضيات بتحديد الرمز + في محرر النص المنسق. حدد الرياضيات من القائمة.

يمكنك الوصول إلى العديد من الميزات في محرر الرياضيات من خلال تحديد علامات التبويب المختلفة في الأعلى.

استخدم لوحة المفاتيح لإدخال الأرقام والأحرف والرموز. حدد الرمز المناسب في محرر الرياضيات لإنشاء معادلات معقدة، مثل إنشاء جذر تربيعي.
فكرة مفيدة
نصيحة: في حالة استخدامك خيار يغير مستوى النص الخاص بمعادلتك، مثل النص المنخفض أو الكسر العشري، استخدم مفاتيح الأسهم بلوحة المفاتيح للعودة إلى المستوى الافتراضي. نوصي باستخدام لوحة المفاتيح للتنقل ضمن معادلة ما.

تتضمن بعض الخيارات الخاصة بإنشاء المعادلات في محرر الرياضيات ما يلي:
العمليات الأساسية: الجمع، والطرح، والضرب، والقسمة، والجذور التربيعية، والأسس، والكسور العشرية
الأبجدية اليونانية: ألفا ، بيتا ، جاما ، وغيرها •
مصفوفة التفاضل والتكامل
التكاملات، والمشتقات، والنهايات
الدوال المثلثية: جيب الزاوية (sin)، جيب التمام (cos)، مماس (tan)
أنماط الخط وأحجامه
يوفر موقع WIRIS الإلكتروني معلومات تفصيلية عن جميع الوظائف الخاصة بمحرر الرياضيات.
فكرة مفيدة
استخدام LaTeX في محرر النص المنسق
LaTeX هو برنامج يمكن استخدامه لإنشاء صورة لمعادلة مستندة إلى اصطلاحات التكويد المكتوبة بنص عادي. يمكن أن يعرض محرر النص المنسق Learn تكويد LaTeX.
ملاحظة
لا يمكن عرض المعادلات التي تتخطى أسطر متعددة في LaTeX بواسطة محرر النص المنسق Learn. تبدأ المعادلات متعددة الخطوط بـ /begin وتنتهي بـ /end.
أدخل معادلة LaTeX عن طريق كتابة الرمز المحدد داخل الرموز $$ الموجودة في محرر النص المنسق.
حدد حفظ لمراجعة الكيفية التي يتم بها عرض المعادلة كصورة. يمكنك الرجوع إلى محرر النص المنسق لتحرير المعادلة حتى يتم عرضها بشكل صحيح. لا تسمح بعض الأنشطة، مثل الاختبارات والواجبات، للطلاب بالحفظ في محرر النص المنسق ومعاينة معادلة LaTeX التي تم عرضها. وسيحرص الطلاب على التحقق من واجبتهم المرسلة بعد ذلك للتأكد من عرض المعادلة الخاصة بهم بشكل صحيح.
لا يمكن تغيير مظهر المعادلات، مثل الكتابة بخط غامق أو تغيير حجم الخط باستخدام محرر النص المنسق. لتغيير أنماط الخطوط أو أحجام المعادلة، يمكنك تحديد أي مكان ضمن المعادلة في محرر النص المنسق، ثم تحديد محرر الرياضيات. يتم تطبيق جميع التغييرات التي تم إجراؤها في محرر الرياضيات عند الحفظ والإضافة إلى كود LaTeX.
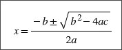
يمكن تنسيق المعادلة التربيعية في LaTeX.

1. أدخل $$ في محرر النص المنسق.
$$
2. أدخل بعد ذلك كود LaTeX للمعادلة:
$$x = \frac {-b \pm \sqrt {b^2 - 4ac}}{2a}
3. أغلق معادلتك بإدخال $$ في النهاية.
$$x = \frac {-b \pm \sqrt {b^2 - 4ac}}{2a}$$

4. حدد حفظ في محرر النص المنسق. يتم عرض المعادلة الرياضية بشكل صورة PNG. قد يستغرق عرض الصورة بضع ثوان، على حسب قوة اتصالك بالإنترنت وحجم المحتوى.

5. حدد تحرير في محرر النص المنسق للعودة إلى كود LaTeX خاصتك.

6. حرر معادلتك للكتابة فوق كود LaTeX الخاص بك بشكل نص عادي داخل محرر النص المنسق. على سبيل المثال، أضف +1 إلى نهاية المعادلة التربيعية.
$$x = \frac {-b \pm \sqrt {b^2 - 4ac}}{2a}+1$$

7. حدد حفظ لعرض المعادلة بشكل صورة جديدة.

8. يمكنك إجراء المزيد من التعديلات على نمط المعادلة. في محرر النص المنسق، حدد أي شيء داخل كود LaTeX.

افتح محرر الرياضيات.

قم بتطبيق الأنماط التي تريدها على المعادلة. على سبيل المثال، يمكنك جعل جزء من المعادلة بخط غامق وتغيير حجم الخط.

9. حدد حفظ في محرر الرياضيات. يكون كود LaTeX للمعادلة التربيعية مع تعديلاتك بالنمط الآن على النحو التالي:
$$\style{font-size:36px}{x=\frac{-b\pm\sqrt{\boldsymbol b^{\mathbf2}\boldsymbol-\mathbf4ac}}{2a}+1}$$

10. حدد حفظ في محرر النص المنسق لعرض معادلتك المعدلة بشكل صورة.

ميزات إمكانية وصول ذوي الاحتياجات الخاصة
تكون صور المعادلات الرياضية عالية الجودة، لذا يمكن للمستخدمين تكبيرها وستظل تفاصيل الصورة واضحة. يمكنك أيضًا تغيير حجم الخط لمساعدة الطلاب. يمكن أن تساعد أحجام الخطوط الأكبر الطلاب على رؤية تفاصيل المعادلة ذات الأرقام والرموز الصغيرة.
يمكن الوصول إلى المعادلات باستخدام قارئات الشاشة أثناء إنشائها وعند عرضها كصور.

يتم إنشاء نص بديل لمعادلات الرياضيات تلقائيًا بحسب إعداد اللغة الخاص بك في ملف التعريف في Learn. تتبع قارئات الشاشة إعدادات جهازك المحلي، بما في ذلك اللغة والسرعة والصوت. للتمتع بتجربة أفضل باستخدام قارئ الشاشة والنص البديل، احرص على مطابقة إعدادات اللغة الخاصة بك في Learn لإعدادات جهازك المحلي.

ملاحظة
إذا كانت اللغة غير مدعومة من محرر الرياضيات أو النص المنسق، فستتم قراءة المعادلات باللغة الإنجليزية.