Dadansoddeg Cwestiynau
Mae dadansoddi cwestiynau'n darparu ystadegau am berfformiad cyffredinol, ansawdd asesiad, a chwestiynau unigol. Mae'r data hyn yn eich helpu i adnabod cwestiynau a allai fod yn wahaniaethwyr gwael o berfformiad myfyrwyr. Mae dadansoddiad cwestiynau ar gyfer asesiadau gyda chwestiynau. Gallwch redeg adroddiad cyn bod yr holl gyflwyniadau wedi cael eu cyflwyno os ydych eisiau gwirio ansawdd y cwestiynau a gwneud newidiadau.
Defnyddiau posib dadansoddiad cwestiynau:
Gwella cwestiynau ar gyfer asesiadau yn y dyfodol neu i addasu credyd ar gyfer ymgeisiau cyfredol
Trafod canlyniadau asesiadau â’ch dosbarth
Cynnig cymorth ar gyfer gwaith gwella
Gwella safon yr addysgu yn yr ystafell ddosbarth
Enghraifft:
Ar ôl y dadansoddiad cwestiynau, rydych yn sylwi bod y mwyafrif o fyfyrwyr yn ateb un cwestiwn yn anghywir. Pam hynny?
Ydy geiriad y cwestiwn yn ddryslyd?
Ydy opsiynau'r atebion yn aneglur?
A gafodd y myfyrwyr y cynnwys cywir i’w galluogi i ateb y cwestiwn?
A oedd y cynnwys i’w ddysgu yn ddealladwy ac yn eglur?
Yn seiliedig ar yr hyn yr ydych yn ei ganfod, gallwch wella'r cwestiwn fel ei fod yn asesu'n wir beth mae myfyrwyr yn ei wybod neu nad ydynt yn ei wybod.
Cyrchu dadansoddiad asesiad
Gallwch redeg a chyrchu adroddiad dadansoddiad o gwestiwn blaenorol o'r meysydd cwrs hyn:
Tudalen Cynnwys y Cwrs a dewislen yr asesiad
Tudalen Dadansoddiad y Cwrs, tab Dadansoddiad Cwestiynau - os yw'ch sefydliad wedi galluogi dadansoddi
Llyfr Graddau
Ar dudalen Cynnwys y Cwrs, ewch i ddewislen asesiad a dewiswch Dadansoddiad Cwestiwn. Gallwch hefyd ddewis eicon Dadansoddiad ar y bar llywio.

Gallwch hefyd redeg adroddiad dadansoddiad cwestiwn o'r llyfr graddau. Ewch i ddewislen asesiad a dewiswch Dadansoddiad Cwestiwn.

Tudalen Dadansoddiad Cwestiynau
Mae tudalen Dadansoddiad Cwestiynau ond ar gael o'r bar llywio, Dadansoddiad, tudalen Dadansoddiad Cwrs, tab Dadansoddiad Cwestiynau.

Gallwch redeg adroddiad ar asesiad gyda chyflwyniadau a dim cwestiynau, ond fe gewch adroddiad heb unrhyw wybodaeth ddefnyddiol.
Byddwch yn derbyn neges bod yr adroddiad dadansoddiad cwestiwn ar waith ac e-bost pan fydd yr adroddiad yn barod. Gallwch adael y dudalen i weithio ym meysydd eraill o'ch cwrs a dychwelyd yn ddiweddarach i weld a yw'ch adroddiad yn barod.

Bydd pob asesiad yn eich cwrs yn ymddangos gydag un o'r statysau hyn:
Adroddiad ar y gweill
Cwblhawyd ar {dyddiad}
Data ddim yn gyfredol mwyach: Mae gan Assessment bellach fwy o gyflwyniadau i'w dadansoddi.
Dim digon o ddata: Does dim cyflwyniadau yn bodoli. Mae Rhedeg Adroddiad wedi'i analluogi.
Dim cwestiynau yn yr asesiad: Nid oes gan asesiad unrhyw gwestiynau na chyflwyniadau. Mae Rhedeg Adroddiad wedi'i analluogi.
Dim statws wedi'i restru: Mae gan yr asesiad gwestiynau a chyflwyniadau, ond nid ydych wedi rhedeg unrhyw adroddiad. Mae Rhedeg Adroddiad wedi'i alluogi.
Gwall: Gweithredu
Gweld crynodeb asesu dadansoddiad cwestiynau
Ar ôl i chi redeg adroddiad, gallwch weld crynodeb o'r wybodaeth a manylion cyffredinol am bob cwestiwn. Dewiswch yr asesiad ar y dudalen Dadansoddeg Cwestiwn i weld y crynodeb.
Nodyn
Dim ond ymdrechion a gyflwynir yn cael eu defnyddio mewn cyfrifiadau. Pan fydd y myfyrwyr wrthi’n cwblhau prawf, caiff yr ymgeisiau hyn eu hanwybyddu hyd nes ichi redeg y dadansoddiad ar ôl i’r myfyrwyr ei gyflwyno. Bydd sero awtomatig yn cael ei bennu am waith hwyr nad sydd wedi'i gynnwys mewn cyfrifiadau.

Crynodeb o'r ystadegau ar gyfer yr asesiad unigol:
Sgôr gyfartalog: Y sgôr a ddangosir yw'r sgôr gyfartalog a adroddwyd ar gyfer yr asesiad yn y llyfr graddau. Gall y sgôr cyfartalog newid os oes mwy o ymgeisiau'n cael eu cyflwyno a'u graddio.
Cwestiynau posibl: Cyfanswm nifer y cwestiynau yn yr asesiad.
Ymdrechion wedi'u cwblhau: Nifer yr asesiadau a gyflwynwyd.
Amser cyfartalog a dreuliwyd: Yr amser cwblhau cyfartalog ar gyfer pob ymgais a gyflwynwyd.
Ail-redwch adroddiad neu golygwch yr asesiad i wneud newid i gwestiynau.
Defnyddiwch y graffiau i hidlo'r tabl o gwestiynau. Dewiswch elfennau yn y ddau graff i fireinio'ch chwiliad. Os na fyddwch yn dewis unrhyw beth, bydd yr holl gwestiynau'n ymddangos yn y tabl ar waelod y dudalen.
Gwahaniaethu: Yn nodi pa mor dda mae cwestiynau yn gwahaniaethu rhwng Myfyrwyr sy'n gwybod y pwnc a'r rhai nad ydynt.
Yn dangos nifer y cwestiynau sy'n cwympo i mewn i'r categorïau hyn:
Da (mwy na 0.3)
Gweddol (rhwng 0.1 a 0.3)
Gwael (llai na 0.1) categorïau
Methu cyfrifo: Anhawster cwestiwn yw 100% neu mae pob Myfyriwr wedi derbyn yr un sgôr ar gwestiwn.
Mae cwestiynau sydd â gwerthoedd gwahaniaethu yng nghategorïau Da a Gweddol yn gwahaniaethu rhwng myfyrwyr sydd â lefelau uwch ac is o wybodaeth.
Dylech adolygu cwestiynau sydd yng nghategori Gwael.
Anhawster: Canran y Myfyrwyr a atebodd y cwestiynau yn gywir
Yn dangos nifer y cwestiynau sy'n cwympo i mewn i'r categorïau hyn:
Hawdd (mwy na 80%)
Canolig (rhwng 30% a 80%)
Anodd (llai na 30%)
Argymhellir eich bod yn adolygu'r cwestiynau hynny yn y categorïau Hawdd neu Anodd.
Dewiswch bennawd i sortio'r cwestiynau. Er enghraifft, trefnwch y golofn Adolygu fel bod y cwestiynau sydd angen eu hadolygu'n ymddangos gyntaf.
Hidlwyr Clirio: Cliriwch yr hidlwyr a ddewiswyd gennych yn y graffiau ac arddangoswch yr holl gwestiynau yn y tabl.
Lawrlwythwch yr adroddiad dadansoddi cwestiynau.
Ynglŷn â'r adran cwestiynau yn y crynodeb asesu
Mae'r tabl cwestiynau'n darparu ystadegau dadansoddi ar gyfer pob cwestiwn yn yr asesiad. Ar ôl i chi ddefnyddio'r graffiau i hidlo'r tabl cwestiynau, gallwch weld a sortio'r canlyniadau.
Yn gyffredinol, mae cwestiynau da yn cwympo yn y categorïau hyn:
Canolig cymhlethdod (rhwng 30% a 80%)
Da neu Gweddol gwerthoedd gwahaniaethu (uwch na 0.1)
Yn gyffredinol, mae’r cwestiynau hynny y dylech fwrw golwg drostynt yn cwympo yn y categorïau hyn. Gallant fod o ansawdd gwael neu wedi'u sgorio'n anghywir.
Hawdd ( > 80%) neu Anodd cymhlethdod (< 30%)
Poor ( < 0.1) gwerthoedd gwahaniaethu
Nodyn atgoffa: Os nad ydych chi'n gwneud unrhyw ddewisiadau, mae'r holl gwestiynau yn ymddangos yn y tabl ar waelod y dudalen.

I ymchwilio i gwestiwn penodol, dewiswch y teitl ac adolygwch fanylion y cwestiwn.
Bydd gwybodaeth yn ymddangos am bob cwestiwn yn y tabl:
Adolygiad anghenion: Wedi'i sbarduno pan fo gwerthoedd gwahaniaethu yn llai na 0.1. Hefyd, pan fo’r gwerthoedd cymhlethdod naill ai’n fwy nag 80% (roedd y cwestiwn yn rhy hawdd) neu’n llai na 30% (roedd y cwestiwn yn rhy anodd). Adolygwch y cwestiwn i bennu a oes angen ei adolygu.
Cwestiwn wedi'i addasu: Yn dangos Ydw os ydych chi'n rhedeg adroddiad, yna newid rhan o gwestiwn, ac ail-redeg yr adroddiad. Mae Ie hefyd yn ymddangos os gopïoch chi'r cwestiwn o asesiad arall pan greoch chi'r asesiad.
Nodyn
Os yw Ie yn ymddangos yng ngholofn Cwestiwn Addasedig cwestiwn, nid yw'r Ie yn cario drosodd pan fyddwch yn archifo ac yn adfer y cwrs.
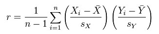
Gwahaniaethu: Yn nodi pa mor dda mae cwestiwn yn gwahaniaethu rhwng Myfyrwyr sy'n gwybod y pwnc a'r rhai nad ydynt. Mae cwestiwn yn wahaniaethwr da pan mae myfyrwyr sy'n ateb y cwestiwn yn gywir hefyd yn gwneud yn dda ar yr asesiad. Gall gwerthoedd amrywio o -1.0 i +1.0. Mae cwestiwn yn cael ei nodi i'w adolygu os yw ei werth gwahaniaethu yn llai na 0.1 neu'n negyddol. Does dim modd i werthoedd gwahaniaethu gael eu cyfrifo pan fo gan gwestiwn sgôr cymhlethdod o 100% neu pan fo pob un o’r myfyrwyr wedi derbyn yr un sgôr ar gyfer cwestiwn.
Cyfrifir gwerthoedd gwahaniaethu gyda chyfernod cydberthynas Pearson. Mae X yn cynrychioli sgoriau pob myfyriwr ar gwestiwn ac mae Y yn cynrychioli sgoriau pob myfyriwr ar yr asesiad.

Y newidynnau hyn yw’r sgôr safonol, y cymedr sampl a’r gwyriad safonol sampl, yn y drefn honno.

Anhawster: Canran y Myfyrwyr a atebodd y cwestiwn yn gywir. Mae'r ganran anhawster wedi'i rhestru ynghyd â'i gategori: Hawdd (mwy nag 80%), Canolig (30% i 80%), a Caled (llai na 30%). Gall werthoedd cymhlethdod amrywio o 0% i 100%. Mae canran uchel yn dynodi bod y cwestiwn yn hawdd. Amlygir cwestiynau yn y categorïau hawdd neu anodd ar gyfer eu hadolygu.
Mae lefelau o gymhlethdod sydd ychydig yn uwch na hanner ffordd rhwng sgoriau perffaith a sgoriau hap a damwain yn fwy llwyddiannus wrth wahaniaethu rhwng y myfyrwyr hynny sy’n deall deunydd y prawf a’r rhai nad ydynt yn ei ddeall. Nid yw lefelau uchel o gymhlethdod yn cyfateb i lefelau uchel o wahaniaethu.
Ymdrechion wedi'u graddio: Nifer yr ymdrechion cwestiynau lle mae'r graddio wedi'i gwblhau. Mae nifer uwch o ymgeisiau graddedig yn cynhyrchu ystadegau cyfrifedig mwy dibynadwy.
Sgôr Cyfartalog: Y sgôr sy'n ymddangos yw'r sgôr gyfartalog a adroddwyd ar gyfer yr asesiad yn y llyfr graddau. Gall y sgôr cyfartalog newid ar ôl graddio'r holl ymgeisiau.
Gweld manylion un cwestiwn
Gallwch archwilio’r cwestiynau hynny y dylech fwrw golwg drostynt a gweld perfformiad y myfyrwyr. O'r tabl cwestiynau Dadansoddeg Cwestiwn, dewiswch deitl cwestiwn cysylltiedig i gyrchu crynodeb y cwestiwn.

Ar ôl i chi gyrchu cwestiwn, defnyddiwch ddewislen teitl y cwestiwn i gyrchu unrhyw gwestiwn yn yr asesiad. Gallwch lywio i'r cwestiynau eraill yn eu trefn ar ochr arall y dudalen.
Mae’r tabl crynodeb yn dangos yr ystadegau am y cwestiwn.
Dewiswch Golygu Asesiad i gyrchu'r asesiad a gwneud newidiadau.
Bydd testun y cwestiwn a’r dewisiadau o ran atebion yn ymddangos. Gallwch weld sawl myfyriwr sy'n dewis pob dewis ateb neu'r ganran a atebwyd yn gywir. Er enghraifft, gyda chwestiwn Paru, byddwch yn gweld pa ganran o fyfyrwyr unodd y parau'n gywir. DIm ond testun y cwestiwn sy'n ymddangos ar gyfer cwestiynau Traethawd.
Ynglŷn ag ymdrechion lluosog, diystyru cwestiynau, a golygiadau cwestiynau
Dyma sut mae'r dadansoddeg yn mynd i'r afael â rhai sefyllfaoedd cyffredin:
Pan fo myfyrwyr yn sefyll asesiad fwy nag unwaith, yr ymgais olaf a gaiff ei ddadansoddi. Cyn gynted ag y bydd myfyriwr yn cyflwyno ymgais arall, bydd unrhyw ddadansoddiad a wneir wedi hynny yn cynnwys yr ymgais diweddaraf.
Nid yw marciau a newidiwyd yn y Llyfr Graddau yn effeithio ar ddata’r dadansoddiad, oherwydd bod y dadansoddiad yn cynhyrchu data ystadegol am y cwestiynau ar sail ymgeisiau gorffenedig y myfyrwyr.
Pan fyddwch yn gwneud newidiadau i gwestiwn neu'n graddio cwestiynau eich hun, rhaid i chi redeg y dadansoddiad eto i weld a yw'r newidiadau'n effeithio ar y data.
Enghreifftiau
Gall dadansoddiad cwestiynau eich helpu i wella ar gwestiynau ar gyfer y tro nesaf y cynhelir y prawf. Gallwch hefyd addasu cwestiynau sy’n gamarweiniol neu’n amwys ar asesiad cyfredol.
Mewn cwestiwn Amlddewis, mae nifer cyfartal o fyfyrwyr yn dewis A, B ac C. Dylech fwrw golwg dros yr atebion a gwirio nad ydynt yn amwys neu’n rhy anodd, neu i wirio a gafodd y deunydd ei drafod.
Argymhellir adolygu cwestiwn oherwydd ei bod yn cwympo yn y categori caled. Rydych yn pennu a yw'r cwestiwn yn anodd, ond rydych yn ei gadw er mwyn gwerthuso amcanion eich cwrs mewn modd priodol.
Mae’r system wedi tynnu’ch sylw at Gwestiwn Amlddewis y dylech fwrw golwg drosto. Dewisodd mwy o fyfyrwyr sydd yn y 25% Uchaf ateb B, er mai ateb A sy’n gywir. Rydych yn sylweddoli na roddoch yr ateb cywir pan greoch chi’r cwestiwn. Rydych yn golygu cwestiwn yr asesiad a chaiff ei ailraddio'n awtomatig.
Lawrlwytho canlyniadau asesu
Efallai bydd angen i chi lawrlwytho canlyniadau profion i'w dadansoddi a'u gwerthuso'n allanol. Mae dadansoddi allanol yn bwysig ar gyfer cefnogi ymdrechion ansawdd cyrsiau ac asesu. Heblaw am hynny, mae sefydliadau yn aml eisiau cael data asesiadau wedi'u cydgasglu ar gyfer gweithgareddau achredu ac adolygu rhaglenni.
Gallwch lawrlwytho canlyniadau asesu o'r llyfr graddau:
O'r golwg Graddau, dewiswch yr asesiad i ddangos y ddewislen opsiynau a dewiswch Lawrlwytho canlyniadau.

O wedd Eitemau Graddadwy y llyfr graddau, dewiswch ddewislen opsiynau'r asesiad a dewis Lawrlwytho'r canlyniadau.

Bydd gennych nifer o opsiynau wrth lawrlwytho canlyniadau.
Math o ffeil: Taenlen Excel (.xls) neu Werth wedi'i Wahanu gan Goma (.csv). .xls yw'r math diofyn.
Fformat y canlyniadau: Yn ôl Myfyriwr neu yn ôl cwestiwn a Myfyriwr. Yn ôl myfyriwr yw'r fformat diofyn.
Ymdrechion i lawrlwytho: Naill ai pob ymgais neu ymdrechion yn unig sydd wedi'u cynnwys yn y cyfrifiad gradd. Gallwch ddiffinio pa ymdrechion i'w cynnwys yn y cyfrifiad gradd yn y gosodiadau Ymdrechion gradd. Y gosodiad diofyn yw lawrlwytho dim ond yr ymgeisiau a ddefnyddir ar gyfer y cyfrifiad.

Mae'r adroddiad a lawrlwythwyd yn cynnwys y wybodaeth ganlynol:
Enw'r myfyriwr
Enw defnyddiwr
Cwestiynau
Atebion
Statws graddio
Unrhyw gynnwys mae'r myfyriwr wedi'i gynnwys yn ei gyflwyniad
Enghraifft o'r fformat canlyniadau Lawrlwytho yn ôl myfyriwr:

Enghraifft o'r fformat canlyniadau Lawrlwytho yn ôl myfyriwr a chwestiwn:

Pwysig
Os byddwch yn defnyddio graddio dienw, bydd y canlyniadau a lawrlwythwyd yn eithrio manylion myfyrwyr a sgoriau nes i'r graddau gael eu cyhoeddi ar gyfer pob myfyriwr.
Gwylio fideo am sut i lawrlwytho canlyniadau asesiadau
Mae'r fideo canlynol â sylwebaeth yn rhoi cynrychiolaeth weledol a chlywedol o rywfaint o'r wybodaeth sydd wedi'i chynnwys ar y dudalen hon. I gael disgrifiad manwl o'r hyn sy'n cael ei bortreadu yn y fideo, agorwch y fideo ar YouTube, llywiwch i Mwy o weithredoedd, a dewiswch Agor trawsgrifiad.