数式エディタ
数式エディタを使用して、テスト、課題、掲示板、日誌に方程式や数式を挿入できます。オプションとして数式エディタがあるリッチテキストエディタには、LaTeX数式を入力することもできます。数式エディタは、スマートフォンやタブレットなど、ブラウザやオペレーティングシステムを問わず実行できます。MathJaxは有効にすると、コンテンツエディタに入力したLaTeXコードをBlackboardがサポートされている領域全体にレンダリングします。MathJaxがアクティブになっていない場合、Wirisは数式をレンダリングします。
数式はPNG画像形式でレンダリングされるため、テキストよりもファイルサイズが大きくなります。数式は、画像が表示されるまでに数秒かかる場合があります。
インターネット接続速度とコンテンツのサイズは読み込み時間に影響します。学生によっては、多くの数式画像を含むコンテンツにアクセスするのが難しい場合があります。
数式の画像サイズを縮小し、読み込み時間を短縮するための推奨事項は次のとおりです。
各数式は、数式エディタまたはLaTeXのいずれかで個別に作成します。
数式エディタやLaTeXコード内に問題の説明や余分なテキストを含めないようにします。問題、指示、あるいはテキストによる説明などはリッチテキストエディタで記述し、数式エディタまたはLaTeXは数式の作成にのみ使用します。
たとえば、教員がテストの中に加速度の数学問題を作成するとします。コンテンツファイルのサイズを小さくするために、教員は問題の説明と変数値をプレーンテキストとしてリッチテキストエディタで直接記述します。次に、数式エディタを使用して加速度の公式を記述します。

数式エディタの使用
リッチテキストエディタで+アイコンを選択して、数式エディタにアクセスします。メニューで[数学]を選択します。

上部にあるさまざまなタブを選択することで、数式エディタの各種機能にアクセスできます。

数字、文字、記号はキーボードを使用して入力します。数式エディタで適切なアイコンを選択して、平方根の作成などの複雑な数式を作成します。
ヒント
ヒント : 下付き文字や分数など、数式のテキストのレベルを変更するオプションを使用している場合は、キーボードの矢印キーを使用するとデフォルトのレベルに戻すことができます。数式内を移動するには、キーボードを使用することをお勧めします。

数式エディタで数式を作成するためのオプションには、次のようなものがあります。
基本演算 : 加算、減算、乗算、除算、平方根、指数、分数
ギリシャ語のアルファベット : アルファ、ベータ、ガンマ、その他 •
行列解析
積分、導関数、極限
三角関数 : サイン (sin)、コサイン (cos)、タンジェント (tan)
フォントのスタイルとサイズ
WIRISのWebサイトで、数式エディタのすべての機能に関する詳細情報を確認できます。
ヒント
リッチテキストエディタでのLaTeXの使用
LaTeXは、プレーンテキストで記述されたコーディング規則に基づいて数式の画像を作成するために使用できるソフトウェアです。Learnのリッチテキストエディタは、LaTeXコーディングをレンダリングできます。
注記
LaTeXで複数行にまたがる数式は、Learnのリッチテキストエディタではレンダリングできません。複数行の数式は、/beginで始まり、/endで終わります。
LaTeX数式をリッチテキストエディタで入力するには、特定のコードを$$記号の間に記述します。
[保存]を選択して、数式が画像としてどのように表示されるかを確認します。正しく表示されるまで、リッチテキストエディタに戻って数式の編集を繰り返すことができます。テストや課題などの一部のアクティビティでは、学生がリッチテキストエディタに保存して、レンダリングされたLaTeX数式をプレビューすることができません。学生はその場合、提出物を後でチェックして、数式が正しくレンダリングされたことを確かめる必要があります。
太字にしたりフォントサイズを変更したりするなど、数式の外観の変更はリッチテキストエディタではできません。数式のフォントスタイルやサイズを変更するには、リッチテキストエディタで数式内の任意の場所を選択してから数式エディタを選択します。数式エディタで行ったすべての変更は、ユーザが保存してLaTeXコードに追加すると適用されます。
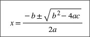
二次方程式の解の公式はLaTeXで書式設定できます。

1. リッチテキストエディタに「$$」と入力します。
$$
2. 次に、数式のLaTeXコードを入力します。
$$x = \frac {-b \pm \sqrt {b^2 - 4ac}}{2a}
3. 末尾にも「$$」と入力して数式を閉じます。
$$x = \frac {-b \pm \sqrt {b^2 - 4ac}}{2a}$$

4. リッチテキストエディタで[保存]を選択します。数式はPNG画像としてレンダリングされます。インターネット接続とコンテンツのサイズによっては、画像のレンダリングに数秒かかる場合があります。

5. リッチテキストエディタで[編集]を選択して、LaTeXコードに戻ります。
![ドロップダウンに [編集] ボタンを示す問題の省略記号メニューの画像](../../../image/img-90602e3ed77138279290b87abd658e17.jpg)
6. 数式を編集して、リッチテキストエディタ内でLaTeXコードをプレーンテキストとして上書きします。たとえば、二次方程式の解の公式の末尾に+1を追加します。
$$x = \frac {-b \pm \sqrt {b^2 - 4ac}}{2a}+1$$

7. [保存]を選択して、数式を新しい画像としてレンダリングします。

8. 数式のスタイルをさらに調整できます。リッチテキストエディタで、LaTeXコード内の任意の場所を選択します。

数式エディタを開きます。

数式のスタイルを変更します。たとえば、数式の一部を太字にしたり、フォントサイズを変更したりすることができます。

9. 数式エディタで[保存]を選択します。スタイル調整後の二次方程式の解の公式のLaTeXコードは、次のようになります。
$$\style{font-size:36px}{x=\frac{-b\pm\sqrt{\boldsymbol b^{\mathbf2}\boldsymbol-\mathbf4ac}}{2a}+1}$$

リッチ テキストエディタで[保存]を選択して、調整した数式を画像としてレンダリングします。

アクセシビリティ機能
数式の画像は高品質であるため、ズームインしても画像は鮮明です。支援が必要な学生のためにフォントサイズを変更することもできます。フォントサイズを大きくすると、小さい数字や記号を含む数式の詳細を確認できます。
数式を作成するときと画像としてレンダリングするときにはスクリーンリーダーを利用できます。

数式の代替テキストは、Learnのプロフィールの言語設定に基づいて自動的に生成されます。スクリーンリーダーの言語、速度、音声などは、ローカルデバイスの設定に従います。スクリーンリーダーと代替テキストを快適に使用できるよう、Learnの言語設定はローカルデバイスの設定と必ず一致させておいてください。

注記
言語が数式エディタまたはリッチテキストでサポートされていない場合、数式は英語で読み上げられます。