質問の分析
質問の分析では、パフォーマンス全体の統計、アセスメントの質の統計、個々の質問の統計が生成されます。このデータは、学生のパフォーマンスの評価基準としてふさわしくない問題を特定するのに役立ちます。質問分析は、問題のある評価用です。問題の質を確認して変更を加えたい場合は、すべての提出物が提出される前にレポートを実行できます。
問題の分析を使用して、次のことができます。
今後のアセスメントのために問題を改善したり、現在の答案の評価を調整したりする。
アセスメントの結果についてクラスでディスカッションを行う。
補習の基準にする。
クラスルームについての説明を改善する。
例:
問題の分析の結果、1つの問題に対して大半の学生が不正解であることがわかりました。正答率が低い理由は何でしょうか。
問題の言い回しがわかりにくいのか?
解答の選択肢が不明瞭なのか?
この問題に正解するための適切なコンテンツを学生に提供したか?
学習コンテンツへのアクセスが容易で、内容がわかりやすかったか?
分析の結果をもとに問題を改善することで、学生が理解している内容と理解していない内容を正しく評価できるようにします。
アセスメントの分析にアクセスする
次のコース領域から、過去の質問の分析レポートを実行しアクセスできます。
[コースコンテンツ]ページ > アセスメントのメニュー
[コース分析]ページ > [質問の分析]タブ (所属教育機関で分析が有効になっている場合)
成績表
[コースコンテンツ]ページで、アセスメントのメニューにアクセスして[問題の分析]を選択します。ナビゲーションバーで[分析]アイコンを選択することもできます。

成績表から問題の分析レポートを実行することもできます。アセスメントのメニューにアクセスし、[問題の分析]を選択します。

[質問の分析]ページ
[質問の分析]ページへはナビゲーションバー > [分析] > [コース分析]ページ > [質問の分析]タブからのみアクセス可能です。

提出はあるものの問題がないアセスメントに関してもレポートを実行することはできますが、有益な情報は得られません。
問題の分析レポートが処理中であるというメッセージが表示されます。レポートが完了すると、Eメールが届きます。ページを離れてコースの他の領域で作業し、後で戻ってレポートの準備ができているかどうかを確認できます。

コースの各アセスメントには、次のいずれかのステータスが表示されます。
進行中のレポート
{date}に終了済み
データが最新ではなくなりました: アセスメントでは、分析する提出物が増えました。
データが足りません: 提出物が存在しません。[レポートの実行]は無効になっています。
評価に質問はありません: 評価には質問や提出物はありません。[レポートの実行]は無効になっています。
ステータスがリストされていません: アセスメントには問題と提出物がありますが、レポートを実行していません。[レポートの実行]は有効です。
エラー: 実行
質問分析評価の概要を表示する
レポートを実行した後、全体的な概要に関する情報と各問題の詳細を表示できます。[問題の分析]ページでアセスメントを選択し、概要を表示します。
注記
提出された試行のみが計算に使用されます。実行中の答案がある場合、それらの答案は、提出されて教員が分析レポートを再度実行するまで無視されます。期日超過後の作業に割り当てられた自動ゼロ評定は計算に含まれません。

各アセスメントの統計の概要 :
平均スコア: 表示されるスコアは、成績表でアセスメントについて報告された平均スコアです。提出および採点された答案の数が増えた場合、平均得点は変わる可能性があります。
考えられる問題: 評価の問題の総数。
完了した試行回数: 提出された評価の数。
平均所要時間: 提出されたすべての試行の平均完了時間。
レポートを再実行するか、アセスメントを編集して問題に変更を加えます。
グラフを使用して問題の表をフィルタリングします。両方のグラフから選択して、検索を絞り込みます。何も選択しない場合、すべての問題がページ下部の表に表示されます。
差別: 質問が主題を知っている学生と知らない学生をどの程度区別しているかを示します。
以下のカテゴリに分類される問題の数を示します。
良い (0.3を超える)
中程度 (0.1-0.3)
悪い (0.1未満) カテゴリ
計算できません: 問題の難易度が 100% であるか、すべての学生が問題で同じスコアを獲得しました。
良いおよび中程度のカテゴリに属する識別力の値の問題は、高い知識レベルの受講者と低い知識レベルの受講者とを区別します。
悪いのカテゴリに属する問題は見直すことをお勧めします。
難易度:問題に正解した学生の割合
以下のカテゴリに分類される問題の数を示します。
簡単 (80%を超える)
中程度 (30-80%)
難しい (30%未満)
簡単または難しいのカテゴリに属する問題は見直すことをお勧めします。
問題を並べ替えるための見出しを選択します。たとえば、[レビュー]列を並べ替えて、レビューが必要な問題が先頭に表示されるようにします。
フィルターのクリア: グラフで選択したフィルターをクリアし、すべての問題を表に表示します。
質問分析レポートをダウンロードします。
評価概要の問題セクションについて
問題の表には、アセスメントの問題ごとに分析統計が示されます。グラフを使用して問題の表をフィルタリングすると、結果を表示して並べ替えることができます。
通常、優れた問題は次のカテゴリに属します。
[中程度] (30%から80%) の難易度
[良い]または[普通] (0.1を超える) の識別力の値
通常、見直しを必要とする問題は次のカテゴリに入ります。品質が低いか、採点が誤っている場合があります。
難易度が[簡単] (> 80%) または[難しい] (< 30%) で、
区分値は[悪い] (< 0.1) です。
リマインダー: 選択しない場合は、すべての問題がページ下部の表に表示されます。

特定の問題を調査するには、タイトルを選択し、問題の詳細を確認します。
この表には、各問題に関する以下の情報が表示されます。
レビューが必要: 識別値が 0.1 未満の場合にトリガーされます。また、難易度が80%を超える場合 (問題が簡単すぎる) や30%未満 (問題が難しすぎる) の場合にも表示されます。問題を見直し、修正が必要かどうかを判断します。
問題の変更: レポートを実行し、問題の一部を変更してレポートを再実行する場合は、はいと表示されます。アセスメントを作成するときに別のアセスメントから問題をコピーした場合も、[はい]と表示されます。
注記
問題の[変更された問題]列に[はい]と表示されている場合、コースをアーカイブして復元した際に[はい]の設定は移行されません。
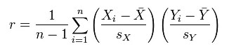
差別: 質問が主題を知っている学生と知らない学生をどの程度区別しているかを示します。問題に正解した学生がアセスメントで良い成績を出した場合に、その問題の識別力は良好となります。値の範囲は -1.0 から +1.0 です。質問は、識別値が 0.1 未満または否定的である場合、レビューのフラグが立てられます。質問の難易度が100%の場合、またはある質問についてすべての学生が同じ得点だった場合、識別力値は計算されません。
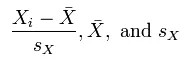
識別力値はPearsonの相関係数を使用して計算されます。Xはある問題での各学生の得点を表し、Yはアセスメントでの各学生の得点を表します。

次の変数は、それぞれ標準得点、サンプル平均、サンプル標準偏差です。

難易度:質問に正解した学生の割合。難易度の割合は、そのカテゴリとともにリストされています: 簡単 (80% 以上)、中程度 (30% から 80%)、ハード (30% 未満)。難易度の範囲は0から100%です。パーセンテージが高いほど問題が簡単であったことを示します。簡単なカテゴリや難しいカテゴリの問題には見直しのフラグが付けられます。
難易度が「簡単」と「難しい」の中間値よりも少し高い場合、テストした教材を理解している学生と理解していない学生が適切に区別されています。難易度が高くても、識別の度合いも高いとは限りません。
採点された答案: 採点が完了した問題の答案の数。採点済みの答案の数が多いほど、計算済みの統計の信頼性が向上します。
平均スコア: 表示されるスコアは、成績表のアセスメントについて報告された平均スコアです。すべての答案が採点された後、平均得点が変わる可能性があります。
1 つの問題の詳細を表示する
レビューが必要というフラグが付いている問題を調査し、学生のパフォーマンスを表示します。[問題の分析]の問題の一覧から、リンクされた問題のタイトルを選択し、問題の概要にアクセスします。

問題にアクセスしたら、問題タイトルのメニューを使用してアセスメント内の問題にアクセスします。ページの左右にある矢印を使用して、前後の問題に移動することができます。
概要の表には、問題の統計が表示されます。
アセスメントにアクセスして変更を加えるには、[アセスメントを編集]を選択します。
問題文と解答の選択肢が表示されます。解答の選択肢ごとに選択した学生の数を表示したり、正解率を表示したりできます。たとえば、組み合わせ問題の場合、正しく組み合わせた学生のパーセンテージがわかります。作文問題については問題文のみ表示されます。
複数回の試行、問題の上書き、問題の編集について
分析では、よくあるケースを次の方法で処理します。
学生がアセスメントを複数回受ける場合、最後に提出した答案が分析の入力として使用されます。学生が新たに答案を提出すると、その後の分析には、その最新の答案が含まれます。
分析では、学生の完了済みの答案に基づいて問題の統計データを生成するため、成績表の上書きは分析データに影響しません。
問題に変更を加えた場合、または手動で採点した場合は、変更内容がデータに影響したかどうかを確認するために、分析を再度実行する必要があります。
例
問題の分析は、今後のアセスメント管理に向けた問題の改善に役立ちます。また、現在のアセスメントにおいて、誤った解釈を招く問題やあいまいな問題を修正することもできます。
多肢選択問題で、A、B、Cを選択した学生の数が同じだった場合、解答の選択を検証し、問題があいまいすぎたのか、難しすぎたのか、教材の範囲外だったかを判断します。
問題の難易度が「難しい」のカテゴリに分類されたため、問題の見直しが推奨されています。難しい問題であることはわかりましたが、コースの目的を適切に評価する必要があるため、この問題は残しておきます。
多肢選択問題には、確認のためのフラグが付きます。正解がAの問題に対して、上位25%以上の学生が選択肢Bを選んだとします。その場合、問題を作成した時に正しい解答を選択していなかったことが分かります。アセスメントの問題を編集すると、自動的に再採点が行われます。
評価結果のダウンロード
外部の分析と評価のために、テスト結果のダウンロードが必要な場合があります。外部分析は、コースの品質とアセスメントの取り組みをサポートするために重要です。さらに教育機関は、認証評価とプログラムのレビュー活動のために、まとめられたアセスメントデータを必要とすることがよくあります。
成績表から評価結果をダウンロードできます。
[成績] ビューから、アセスメントを選択してオプション メニューを表示し、結果のダウンロード を選択します。

採点可能項目ビューから、アセスメントの[オプション]メニューを選択して、[結果をダウンロード]を選択します。

結果をダウンロードするときに、いくつかのオプションが表示されます。
ファイル・タイプ:Excel スプレッドシート (.xls) またはカンマ区切り値 (.csv)。デフォルトは.xlsです。
結果の形式: 学生別または問題と学生別。デフォルトは学生別です。
ダウンロードの試行数: 成績計算に含まれるすべての試行または試行のみ。成績計算に含める答案は、[成績設定で定義できます。デフォルトでは、計算に使用される答案のみをダウンロードします。

ダウンロードしたレポートには次の情報が含まれています。
学生の名前
ユーザ名
問題
回答
採点ステータス
提出物に学生が含めたコンテンツ
結果のフォーマットの学生別のダウンロードの例 :
![[学生によるダウンロード] 形式からのサンプル。](../../image/img-982e1c1ac5c69fafb2f18e9c329630f2.jpg)
結果のフォーマットの学生と問題別のダウンロードの例 :

重要
匿名採点を使用する場合、すべての学生の成績が投稿されるまで、ダウンロードされた結果から学生と得点の詳細が除外されます。
アセスメント結果のダウンロード方法についての動画を見る
次のナレーション入りの動画は、このページに含まれる情報の一部を視覚的・聴覚的に表現したものです。動画で描かれている内容の詳細な説明については、YouTubeで動画を開き、その他の操作に移動して、文字起こしを開くを選択してください。