Editor de matemática
Você pode digitar equações e fórmulas matemáticas em testes, exercícios, discussões e diários com o editor de matemática. Você também pode digitar as fórmulas do LaTeX em qualquer editor de rich text em que o editor de matemática for uma opção. O editor de matemática funciona em qualquer navegador ou sistema operacional, incluindo smartphones e tablets. Quando ativado, o MathJax exibe o código LaTeX digitado no Editor de conteúdo em áreas compatíveis do Blackboard. Se o MathJax não estiver ativo, o Wiris irá gerar as fórmulas.
Fórmulas matemáticas são exibidas no formato de imagem PNG, cujos arquivos são maiores do que os de texto. As fórmulas matemáticas podem levar alguns segundos para serem exibidas antes da imagem ser exibida.
A velocidade de conexão com a Internet e o tamanho do conteúdo afetam o tempo de carregamento. Alguns alunos podem ter dificuldade para acessar o conteúdo com muitas imagens de fórmulas.
Algumas recomendações para reduzir o tamanho da imagem da fórmula e o tempo de carregamento são:
Elabore cada fórmula separadamente com o editor de matemática ou com o LaTeX.
Evite incluir descrições de perguntas ou texto extra no editor de matemática ou no código LaTeX. Use o editor de rich text para digitar as perguntas, instruções ou descrições de texto e use apenas o editor de matemática ou o LaTeX para elaborar as fórmulas de matemática.
Por exemplo, um instrutor digita um problema de matemática de aceleração em um teste. Para reduzir o tamanho do arquivo de conteúdo, o instrutor digita a descrição do problema e dos valores das variáveis diretamente no editor de rich text como texto simples. Em seguida, o instrutor escreve a fórmula de aceleração usando o editor de matemática.

Uso do editor de matemática
Acesse o editor de matemática clicando no ícone + no editor de rich text. Clique em Matemática no menu.

Você pode acessar vários recursos no editor de matemática clicando nas diversas guias no topo da página.

Use o teclado para digitar números, letras e símbolos. Clique no ícone desejado no editor de matemática para elaborar fórmulas complexas, como uma raiz quadrada.
Dica
Se você estiver usando uma opção que altera o nível do texto da sua fórmula, como subscrito ou fração, use as setas do teclado para retornar ao nível padrão. Recomendamos o uso do teclado para navegar em uma fórmula.

Algumas das opções para elaborar fórmulas no editor de matemática incluem:
Operações básicas: adição, subtração, multiplicação, divisão, raiz quadrada, expoentes, frações
Alfabeto grego: alfa, beta, gama e outros
Cálculo de matrizes
Integrais, derivadas e limites
Funções trigonométricas: seno (sen), cosseno (cos), tangente (tan)
Estilos e tamanhos de fonte
O site WIRIS contém informações detalhadas sobre todas as funções do editor de matemática.
Como usar o LaTeX no editor de rich text
O LaTeX é um software que pode ser utilizado para criar a imagem de uma fórmula com base em convenções de codificação, escritas com texto simples. O editor de rich text do Learn dispõe de meios para exibir a codificação LaTeX.
Nota
Fórmulas que se subdividem em várias linhas no LaTeX não podem ser geradas pelo editor de rich text do Learn. Fórmulas com várias linhas começam com /begin e terminam com /end.
Digite uma fórmula no LaTeX, escrevendo o código específico entre símbolos $$ no editor de rich text.
Clique em Salvar para analisar como a fórmula será exibida como uma imagem. Você pode voltar ao editor de rich text para editar a fórmula até que ela seja exibida corretamente. Algumas atividades, como testes e exercícios, não permitem que os alunos salvem no editor de rich text e vejam fórmula gerada pelo LaTeX. Os alunos terão que verificar o envio posteriormente para garantir que a fórmula tenha sido gerada corretamente.
Não é possível alterar a aparência das fórmulas, com negrito ou fontes de tamanhos diferentes utilizando o editor de rich text. Para alterar os estilos ou tamanhos de fontes da fórmula, você pode clicar em qualquer lugar da fórmula no editor de rich text e em seguida abrir o editor de matemática. Todas as alterações feitas no editor de matemática se aplicam quando você as salva e as adiciona ao código LaTeX.
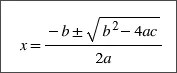
A fórmula quadrática pode ser formatada no LaTeX.

1. Digite $$ no editor de rich text.
$$
2. Em seguida, digite o código LaTeX para a fórmula:
$$x = \frac {-b \pm \sqrt {b^2 - 4ac}}{2a}
3. Feche sua fórmula digitando $$ no final.
$$x = \frac {-b \pm \sqrt {b^2 - 4ac}}{2a}$$

4.Clique em Salvar no editor de rich text. A fórmula matemática é gerada como uma imagem PNG. A geração da imagem pode levar alguns segundos, conforme a conexão com a Internet e o tamanho do conteúdo.

5. Clique em Editar no editor de rich text para retornar ao código LaTeX.

6. Edite sua fórmula para substituir o código LaTeX como texto simples no editor de rich text. Por exemplo, adicione +1 ao final da fórmula quadrática.
$$x = \frac {-b \pm \sqrt {b^2 - 4ac}}{2a}+1$$

7. Clique em Salvar para exibir a fórmula como uma nova imagem.

8. Você pode fazer mais ajustes no estilo da fórmula. No editor de rich text, clique em qualquer item do código LaTeX.

Abra o editor de matemática.

Aplique os estilos que quiser à fórmula. Por exemplo, você pode usar uma parte em negrito da fórmula e alterar o tamanho da fonte.

9. Clique em Salvar no editor de matemática. O código LaTeX para a fórmula quadrática com seus ajustes de estilo agora seria:
$$\style{font-size:36px}{x=\frac{-b\pm\sqrt{\boldsymbol b^{\mathbf2}\boldsymbol-\mathbf4ac}}{2a}+1}$$

10. Clique em Salvar no editor de rich text para exibir sua fórmula ajustada como uma imagem.

Recursos de acessibilidade
As imagens da fórmula matemática são de alta qualidade. Assim, os usuários podem ampliar a imagem sem prejudicar sua clareza. Você também pode alterar o tamanho da fonte para ajudar seus alunos. Tamanhos de fontes maiores podem ajudar seus alunos a ver os detalhes de uma fórmula com números e símbolos pequenos.
As fórmulas são acessíveis aos leitores de tela quando você às cria e quando são exibidas como imagens.

O texto alternativo para fórmulas matemáticas é gerado automaticamente com base na sua configuração de idioma no seu perfil no Learn. Leitores de tela seguem as configurações do dispositivo local, incluindo idioma, velocidade e voz. Para ter uma experiência melhor com o leitor de tela e texto alternativo, certifique-se de que sua configuração de idioma no Learn corresponde às configurações do seu dispositivo local.

Nota
Se um idioma não for compatível com o editor de matemática ou rich text, as fórmulas serão lidas em inglês.