Spørsmålsanalyse
Med spørsmålsanalysen får du statistikk om generelle resultater, oppgave-/prøvekvalitet og enkeltspørsmål. Med denne informasjonen kan du gjenkjenne spørsmål som kanskje ikke representerer studentenes prestasjoner på en god måte. Spørsmålsanalyse er for vurderinger med spørsmål. Hvis du vil sjekke kvaliteten på spørsmålene dine og gjøre endringer, kan du kjøre rapporter før alle innsendinger er mottatt.
Bruksområder for spørsmålsanalyser:
Forbedre spørsmål for fremtidige oppgaver/prøver, eller juster poeng for nåværende forsøk
Diskuter prøveresultater med klassen
Få et grunnlag for forbedringsarbeid
Forbedre veiledningen i klasserommet
Eksempel:
Når spørsmålsanalysen er over, legger du merke til at de fleste studentene svarer feil på ett bestemt spørsmål. Hvorfor svarer så mange feil?
Er ordlyden i spørsmålet forvirrende?
Er svaralternativene uklare?
Ble studentene riktig forberedt på å svare på dette spørsmålet?
Var læremateriellet lett tilgjengelig og tydelig?
Du kan forbedre spørsmålet basert på det du finner ut, slik at det virkelig gjenspeiler hva studentene kan eller ikke kan.
Få tilgang til analysen for en vurdering
Du kan kjøre og åpne rapporter for tidligere spørsmålsanalyser fra disse emneområdene:
Emneinnhold-siden > oppgave-/prøvemenyen
Emneinnhold-siden > Spørsmålsanalyse-fanen (hvis institusjonen din har aktivert analyse)
Vurderingsbok
Åpne menyen for en oppgave eller prøve på Emneinnhold-siden, og velg Spørsmålsanalyse. Du kan også velge Analyse-ikonet i navigasjonsfeltet.

Du kan også kjøre en rapport for spørsmålsanalyse fra vurderingsboken. Åpne menyen for en oppgave eller prøve, og velg Spørsmålsanalyse.

Spørsmålsanalyse-siden
Spørsmålsanalyse-siden er bare tilgjengelig fra navigasjonsfeltet > Analyse > Emneanalyse-siden > Spørsmålsanalyse-fanen.

Du kan kjøre en rapport for oppgaver eller prøver som har innsendinger uten spørsmål, men du får en rapport uten brukbar informasjon.
Du får en melding om at rapporten for spørsmålsanalyse pågår, og en e-post når rapporten er ferdig. Du kan lukke siden for å jobbe andre steder i emnet og komme tilbake senere for å se om rapporten er ferdig.

Alle oppgaver eller prøver i emnet ditt vises med en av disse statusene:
Rapport pågår
Fullført {dato}
Dataene er ikke lenger oppdatert: Vurderingen har nå flere innsendinger å analysere.
Ikke nok data: Det finnes ingen innsendinger. Kjør rapport er deaktivert.
Ingen spørsmål i vurderingen: Vurderingen har ingen spørsmål eller innsendinger. Kjør rapport er deaktivert.
Ingen status oppført: Vurderingen har spørsmål og innsendinger, men du har ikke kjørt noen rapport. Kjør rapport er aktivert.
Feil: Kjør
Se vurderingssammendraget for spørsmålsanalyse
Når du har kjørt en rapport, kan du se overordnet oppsummeringsinformasjon og detaljer om hvert spørsmål. Velg vurderingen på Spørsmålsanalyse -siden for å se sammendraget.
Notat
Kun innsendte forsøk brukes i beregninger. Når forsøk pågår, ignoreres de inntil de er sendt inn og du kjører analyserapporten på nytt. Hvis det gis null poeng automatisk for sene innleveringer, tas ikke dette med i beregninger.

Oppsummering av statistikken for enkeltoppgaver/-prøver:
Gjennomsnittspoeng: Poengsummen som vises, er den gjennomsnittspoeng som er rapportert for oppgaven eller prøven i vurderingsboken. Den gjennomsnittlige poengsummen kan endres hvis flere forsøk sendes inn og får vurdering.
Mulige spørsmål: Totalt antall spørsmål i vurderingene.
Fullførte forsøk: Antall innsendte vurderinger.
Gjennomsnittlig tid brukt: Gjennomsnittlig fullføringstid for alle innsendte forsøk.
Hvis du vil endre spørsmålene, kan du kjøre en rapport på nytt eller endre oppgaven/prøven.
Du kan bruke diagrammene til å filtrere spørsmålstabellen. Du kan velge elementer i begge diagrammene for å snevre inn søket. Hvis du ikke velger noe, vises alle spørsmålene i tabellen nederst på siden.
Diskriminering: Angir hvor godt spørsmålene skiller mellom studenter som kjenner emnet og de som ikke gjør det.
Viser hvor mange spørsmål som faller inn under disse kategoriene:
Bra (over 0,3)
Middels (mellom 0,1 og 0,3)
Dårlig (under 0,1)
Kan ikke beregne: Vanskelighetsgraden til et spørsmål er 100 %, eller alle Studentene fikk samme poengsum på et spørsmål.
Spørsmål med diskrimineringsverdier i kategoriene Bra og Middels differensierer mellom studenter med mye og lite kunnskap.
Du bør gå gjennom spørsmål i Dårlig-kategorien.
Vanskelighetsgrad: Prosenter av studenter som svarte riktig på spørsmålene
Viser hvor mange spørsmål som faller inn under disse kategoriene:
Enkelt (over 80 %)
Middels (mellom 30 % og 80 %)
Vanskelig (under 30 %)
Du bør gå gjennom spørsmål i kategoriene Enkelt og Vanskelig.
Velg en overskrift for å sortere spørsmålene. Du kan for eksempel sortere Gjennomgang-kolonnen, så spørsmål som bør gjennomgås, vises først.
Fjern filtre: Fjern filtrene du valgte i grafene, og vis alle spørsmålene i tabellen.
Last ned spørsmålsanalyserapporten.
Om spørsmålsdelen i vurderingssammendraget
Spørsmålstabellen inneholder analysestatistikk for hvert av spørsmålene i oppgaven/prøven. Når du har filtrert spørsmålstabellen med diagrammene, kan du se og sortere resultatene.
Generelt sett faller gode spørsmål inn under disse kategoriene:
Middels (30 % til 80 %) vanskelighetsgrad
Diskrimineringsverdiene Bra eller Middels (mer enn 0,1)
Generelt sett faller spørsmål du bør gå gjennom, inn under disse kategoriene: De kan være av dårlig kvalitet eller ha fått feil poengsum.
Lett (> 80 %) eller Vanskelig (< 30 %) vanskelighetsgrad
Diskrimineringsverdien Dårlig (< 0,1)
Husk: Hvis du ikke gjør noen valg, vises alle spørsmålene i tabellen nederst på siden.

Hvis du vil undersøke et bestemt spørsmål, velger du tittelen og går gjennom spørsmålsdetaljene.
Du ser informasjon om hvert av spørsmålene i tabellen:
Behovsgjennomgang: Utløses når diskrimineringsverdiene er mindre enn 0,1. Eller når vanskelighetsgraden enten er over 80 % (spørsmålet var for lett) eller under 30 % (spørsmålet var for vanskelig). Gå gjennom spørsmålet for å finne ut om det må gjøres endringer.
Spørsmål endret: Viser Ja hvis du kjører en rapport, deretter endrer du en del av et spørsmål og kjører rapporten på nytt. Ja vises også hvis du kopierte spørsmålet fra en annen oppgave/prøve da du opprettet denne oppgaven/prøven.
Notat
Hvis du ser Ja i Spørsmål endret-kolonnen for et spørsmål, videreføres ikke dette når du arkiverer og gjenoppretter emnet.
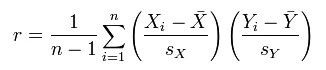
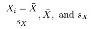
Diskriminering: Angir hvor godt et spørsmål skiller mellom Students som kjenner fagstoffet og de som ikke gjør det. Et spørsmål er en god diskriminator når studenter som svarer riktig på spørsmålet, også gjør det bra på prøven eller oppgaven. Verdiene kan variere fra -1,0 til +1,0. Et spørsmål flagges for gjennomgang hvis diskrimineringsverdien er mindre enn 0,1 eller negativ. Diskrimineringsverdier kan ikke beregnes når spørsmålets vanskelighetsgrad er 100 % eller alle studentene får den samme poengsummen på et spørsmål.
Diskrimineringsverdiene beregnes med Pearsons korrelasjonskoeffisient. X representerer hver students poengsum for et spørsmål, og Y representerer hver students poengsum for oppgaven/prøven.

Disse variablene er henholdsvis standardpoengsum, gjennomsnittet for utvalget og standardavvik for utvalget:

Vanskelighetsgrad: Prosenter av Studenter som svarte riktig på spørsmålet. Vanskelighetsgraden er oppført sammen med kategorien: Lett (større enn 80%), Middels (30% til 80%) og Vanskelig (mindre enn 30%). Vanskelighetsskalaen går fra 0 % til 100 %. En høy prosentverdi betyr at spørsmålet var lett. Spørsmål i kategoriene Enkelt og Vanskelig merkes for gjennomgang.
Vanskelighetsgrader som er litt forbi halvveis mellom tilfeldige og perfekte poengsummer, fungerer bedre til å skille mellom studenter som er godt kjent med materialet i prøven, og de som ikke er det. Høye vanskelighetsgrader sikrer ikke høye diskrimineringsverdier.
Vurderte forsøk: Antall spørsmålsforsøk der vurderingen er fullført. Et høyere antall vurderte forsøk gir mer pålitelige beregnet statistikk.
Gjennomsnittspoeng: Poengsummen som vises, er den gjennomsnittspoeng som er rapportert for oppgaven eller prøven i vurderingsboken. Den gjennomsnittlige poengsummen kan endres når alle forsøk har fått vurdering.
Se detaljer for ett enkelt spørsmål
Du kan undersøke spørsmål som er merket for gjennomgang, og se studentenes prestasjoner. Fra spørsmålanalysetabelllen, velg et tilknyttet spørsmålstittel for å få tilgang til spørsmålets sammendrag.

Når du har åpnet et spørsmål, kan du bruke menyen i spørsmålstittelen til å gå til et hvilket som helst spørsmål i oppgaven/prøven. Du kan gå til neste eller forrige spørsmål til høyre/venstre på siden.
Statistikk for spørsmålet vises i sammendragstabellen.
Velg Rediger oppgaven/prøven for å åpne siden for oppgaven/prøven og gjøre endringer.
Du ser spørsmålsteksten og svaralternativene. Du kan se hvor mange studenter som valgte hvert svaralternativ, samt hvor mange prosent av studentene som svarte riktig. For et Pare sammen-spørsmål ser du for eksempel hvor mange prosent av studentene som fant de riktige parene. For Langsvar-spørsmål vises bare spørsmålsteksten.
Om flere forsøk, overstyringer av spørsmål og endringer i spørsmål
Analysen tar hånd om noen vanlige scenarioer på denne måten:
Når en student tar en oppgave/prøve flere ganger, blir det siste innsendte forsøket brukt i analysen. Når studenten sender inn et nytt forsøk, blir det nye forsøket brukt for senere analyser.
Overstyringer i vurderingsboken påvirker ikke analysedataene, fordi analysen generer statistiske data for spørsmål basert på fullførte studentforsøk.
Når du gjør endringer i et spørsmål eller vurderer spørsmål manuelt, må du kjøre analysen på nytt for å se om endringene påvirker dataene.
Eksempler
Med spørsmålsanalyser kan du få hjelp til å forbedre spørsmålene til neste gang du gir ut prøven/oppgaven. Du kan også fikse misvisende eller tvetydige spørsmål i nåværende oppgaver/prøver.
I et flervalgsspørsmål med ett mulig svar valgte et likt antall studenter A, B og C. Undersøk om svaralternativene var uklare, om spørsmålet var for vanskelig eller om materialet ikke var dekket.
Et spørsmål anbefales for gjennomgang fordi det faller under kategorien Vanskelig. Du avgjør at spørsmålet er vanskelig, men beholder det fordi det er nødvendig for å vurdere emnemålene tilstrekkelig.
Et flervalgsspørsmål er merket for gjennomgang. Flere av Øverst 25 %-studentene valgte svar B selv om svar A var det riktige svaret. Du skjønner at du ikke valgte det riktige svaret da du laget spørsmålet. Du redigerer oppgave-/prøvespørsmålet, så får det automatisk ny vurdering.
Last ned vurderingsresultater
Det kan hende du må laste ned prøveresultater for ekstern analyse og evaluering. Ekstern analyse er viktig for å støtte opp under emnekvalitet og vurderingstiltak. Dessuten vil institusjoner ofte ha satt sammen vurderingsdata for akkreditering og aktiviteter for programgjennomgang.
Du kan laste ned vurderingsresultater fra vurderingsboken:
I Vurderinger-visningen kan du velge vurderingen for å vise alternativmenyen og velge Last ned resultater.

Velg alternativsmenyen for elementer som kan vurderes i listevisningen i vurderingsboken, og velg deretter Last ned resultater.

Du finner flere alternativer når du laster ned resultater.
Filtype: Excel-regneark (.xls) eller kommadelt verdi (.csv). Standard er .xls.
Format på resultater: Etter Student eller etter spørsmål og Student. Standardverdien er som student.
Forsøk å laste ned: Enten alle forsøk eller bare forsøk som er inkludert i vurderingsberegningen. Du kan definere hvilke forsøk som skal inkluderes i vurderingsberegningen, i Vurderingsforsøk-innstillingene. Standarden er å bare laste ned forsøk som brukes til beregning.

Den nedlastede rapporten inkluderer følgende informasjon:
Studentnavn
Brukernavn
Spørsmål
Svar
Vurderingsstatus
Alt innhold studenten har inkludert i innsendingen sin
Prøve for resultatformatet Last ned etter student:

Prøve for resultatformatet Last ned etter student og spørsmål:

Viktig
Hvis du bruker anonym vurdering, utelukkes de nedlastede resultatene fra student- og poengsumdetaljene frem til alle studentene publiserer vurderinger.
Se på en video om hvordan du laster ned vurderingsresultater
Følgende fortalt video gir en visuell og auditiv representasjon av noe av informasjonen som er inkludert på denne siden. For en detaljert beskrivelse av hva som er fremstilt i videoen, åpne videoen på YouTube, naviger til Flere handlinger og velg Åpne transkripsjon.