ORIGINAL Öge Analizi
Öge analizi; genel performansa, test kalitesine ve tek tek sorulara ilişkin istatistikleri sağlar. Bu veriler, öğrenci performansını ayırt etme konusunda zayıf kalan soruları tanımlamanıza yardımcı olur.
Öge analizi için şunlar kullanılır:
Gelecekteki test yöneticileri için soruları iyileştirin veya mevcut denemelerde krediyi ayarlayın.
Test sonuçlarını sınıfınızla tartışın
Kurtarma çalışması için temel oluşturun
Sınıf yönergesini iyileştirin
Örnek:
Öge analizinden sonra, çoğu öğrencinin aynı soruyu yanlış yanıtladığını fark etmiş olabilirsiniz. Bu düşük başarı oranının sebebi nedir?
Sorunun soruluş şekli kafa karıştırıcı mı?
Yanıt seçenekleri açık değil mi?
Öğrenciler bu soruyu doğru yanıtlamak için gereken içeriğe ulaşmış mıydı?
Eğitim içeriği kolayca erişilebilir ve anlaşılabilir miydi?
Öğrencilerin bildiği veya bilmediği şeyleri doğru şekilde değerlendirmesi amacıyla test sorusunu analiz sonuçlarına göre iyileştirebilirsiniz.
Testte öğe analizi çalıştırma
Gönderilmiş denemelere sahip olan dağıtılmış testlerde öğe analizini çalıştırabilirken, ölçme sınavlarında çalıştıramazsınız.
Test, bir ya da birden fazla denemeyi, soru kümelerini, rastgele blokları, otomatik not verilmiş soru türlerini ve manuel olarak not verilmesi gereken soruları da içerebilir. Henüz not atamadığınız ve manuel olarak not verilen sorulara sahip testlerde, istatistikler yalnızca not verilen sorular için oluşturulur. Sorulara manuel olarak not verdikten sonra, öge analizini yeniden çalıştırın. Manuel not verilen sorular için istatistikler oluşturulur ve test özet istatistikleri güncellenir.
En iyi sonuçlar için analizleri öğrenciler tüm denemeleri gönderildikten ve manuel olarak not verilen tüm soruları puanlandıktan sonra çalıştırın. İstatistiklerin test denemesi sayısından, teste katılan öğrenci türünden ve hata risklerinden etkilendiğini göz önünde bulundurun.
Not verme ayrıcalıklarına sahip roller olan eğitmenler, not verenler ve öğretim asistanları öge analizine test iş akışı içinde üç şekilde erişebilir.
İçerik alanında dağıtılmış test
Testler sayfasında listelenen dağıtılmış test
Testin Not Merkezi sütunu
Test menüsüne gidin ve Öğe Analizi seçeneğini tıklatın.
Test Seç menüsünde, test seçin. Yalnızca dağıtılan testler listelenir.
Çalıştır'ı seçin.
Yeni raporun bağlantısını Kullanılabilir Analiz bölümünde veya sayfanın en üstündeki Analizi Görüntüle durum göstergesini seçin.

Not
Kullanılabilir Analiz bölümünde daha önceden analizi çalıştır'a erişebilirsiniz.
Öğe Analizi sayfasındaki test özeti
Test Özeti testteki verileri bir bütün olarak sağlar.

Testi Düzenle test üzerinde değişiklik yapabileceğiniz Test Tuvali'ne erişim sağlar.
Test istatistiklerini görüntüleyin:
Olası Puanlar: Test için toplam puan sayısı.
Olası Sorular: Testteki toplam soru sayısı.
Devam Eden Denemeler: Şu anda sınava giren ve henüz göndermemiş olan öğrencilerin sayısı.
Tamamlanan Denemeler: Gönderilen testlerin sayısı.
Ortalama Puan: Yıldız işaretiyle gösterilen puanlar, bazı denemelere not verilmediğini ve tüm denemelere not verildikten sonra ortalama puanın değişebileceğini gösterir. Burada gösterilen puan, Not Merkezi'ndeki test için rapor edilen ortalama puandır.
Ortalama Süre: Gönderilen tüm denemelerin ortalama tamamlanma süresi.
Ayrımcılık: İyi (0,3'ten büyük), Orta (0,1 ve 0,3 arası) ve Zayıf (0,1'den küçük) kategorilerinde bulunan soru sayısını gösterir. Sorunun zorluğu %100 olduğunda veya bir soruda tüm öğrenciler aynı puanı aldığında ayrım değeri Hesaplanamıyor olarak listelenir. İyi ve Orta kategorilerinde ayrım değerlerine sahip sorular, daha yüksek ve daha düşük bilgi düzeyine sahip öğrenciler arasında ayrım yapmada daha iyidir. Gözden geçirme için Zayıf kategorisindeki sorular önerilir.
Zorluk: Kolay (%80'den fazla), Orta (%30 ve %80 arası) ve Zor (%30'dan az) kategorilerinde bulunan soru sayısını gösterir. Zorluk, soruya doğru yanıt veren öğrencilerin yüzdesidir. Gözden geçirme için Kolay veya Zor kategorilerindeki sorular kırmızı bir daire ile gösterilir.
Not
Yalnızca puanlanan denemeler öge analizi hesaplamalarında kullanılabilir. Devam eden denemeler varken, bunlar gönderilinceye kadar ve öge analizi raporunu siz yeniden çalıştırıncaya kadar bu denemeler yok sayılır.
Öğe Analizi sayfasındaki soru istatistikleri tablosu
Soru istatistikleri tablosu, testteki her bir soru için öge analizi istatistikleri sağlar. İncelemeniz için önerilen sorular, revizyon gerektirebilen soruları hızlı şekilde tarayabilmeniz için kırmızı dairelerle gösterilir.
Genellikle, iyi sorular aşağıdaki kategorilerde olur:
Orta (%30 ile %80 arasında) zorluk
İyi veya Orta (0,1'den fazla) ayrım değerleri
Genellikle, gözden geçirme için önerilen sorular aşağıdaki kategorilerde bulunur. Düşük kalite veya yanlış puanlama olabilir.
Kolay ( > %80) veya Zor ( > %30) zorluk
Zayıf ( < 0,1) ayrım değerleri

Soru tablosunu Soru Türü'ne, Ayrım'a ve Zorluk'a göre filtreleyin.
Belirli bir soruyu araştırmak için başlığı seçin ve Soru Ayrıntıları sayfasını gözden geçirin.
Tabloda her soruya ait istatistikler görünür:
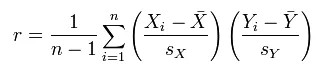
Ayrımcılık: Bir sorunun konuyu bilen ile bilmeyen öğrenci arasındaki ayrımı nasıl yaptığını gösterir. Bir soru, soruyu doğru yanıtlayan öğrenciler testte de iyi yaptığından iyi bir ayırt edicidir. Değerler -1,0 ile +1,0 arasında değişebilir. Bir soru, ayrım değeri 0,1'den küçük veya negatifse incelenmek üzere işaretlenir. Sorunun zorluk puanı %100 iken veya bir soruda tüm öğrenciler aynı puanı aldığında ayırım değerleri hesaplanamaz.
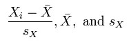
Ayrım değerleri, Pearson korelasyon katsayısıyla hesaplanır. X, bir sorudaki her öğrencinin puanlarını gösterirken Y, testteki her öğrencinin puanlarını gösterir.

Aşağıdaki değişkenler standart puan, örnek ortalama ve örnek standart sapmadır, sırasıyla:

Zorluk: Soruyu doğru cevaplayan Öğrenci'lerin yüzdesi. Zorluk yüzdesi kategorisiyle birlikte listelenir: Kolay (%80'den fazla), Orta (%30 ila %80) ve Zor (%30'dan az). Zorluk değerleri %0 ila %100 arasında değişir, yüksek yüzde sorunun kolay olduğunu gösterir. Kolay veya zor kategorilerindeki sorular gözden geçirme için işaretlenir.
Şans ve mükemmel puanlar arasında orta noktadan hafif yüksek olan zorluk düzeyleri, test edilen materyali bilen öğrencileri bilmeyenden ayırmada daha iyi bir iş yapar. Yüksek zorluk değerleri yüksek ayrım düzeylerini garanti etmez.
Not Verilen Denemeler: Not vermenin tamamlandığı soru denemelerinin sayısı. Yüksek puanlanan deneme sayısı daha güvenilir hesaplanan istatistikler üretir.
Ortalama Puan: Yıldız işaretiyle gösterilen puanlar, bazı denemelere not verilmediğini ve tüm denemelere not verildikten sonra ortalama puanın değişebileceğini gösterir. Puan, Not Merkezi'nde gösterilen test için rapor edilen ortalama puandır.
Standart Sapma: Puanların ortalama puandan ne kadar saptığının ölçüsü. Puanlar, değerlerin çoğu ortalamaya yakın olarak dar bir şekilde gruplanmışsa standart sapma küçük olur. Veri kümesi geniş bir aralığa dağılacak şekilde değerler ortalamadan çok uzaksa, standart sapma daha büyük olur.
Standart Hata: Bir Öğrenci'nin puanındaki şansa bağlı değişkenlik miktarının tahmini. Ölçümün standart hatası ne kadar küçükse, test sorusuyla sağlanan ölçüm o kadar doğru olur.
Tek soruyla ilgili soru ayrıntılarını görüntüle
Gözden geçirmeniz ve öğrenci performansını görüntülemeniz için bayraklanan soruları araştırabilirsiniz.
Öğe Analizi sayfasında, soru istatistikleri tablosuna doğru aşağı kaydırın. Soru Ayrıntıları sayfasına erişmek için bağlantılı soru başlığını seçin.

Soruların sayfalarını sırayla çevirmek için Önceki Sayfa ve Sonraki Sayfa simgelerini seçin. Aynı zamanda ilk veya son soruya da atlayabilirsiniz.
Test üzerinde değişiklik yapabileceğiniz Test Tuvali'ne erişmek için Testi Düzenle'yi seçin.
Özet tablosu soruya ait istatistikler gösterir. Önceki bölümde bulunan her istatistiğe ait açıklamaları gözden geçirebilirsiniz.
Soru metni ve yanıt seçenekleri görünür. Bilgiler soru türüne bağlı olarak değişir:
Sağlanan Bilgi Türü | Soru Türleri |
|---|---|
Her bir yanıt seçeneği belirleyen öğrenci sayısı -VE- Bu cevapların sınıf çeyrekleri arasında dağılımı | Çoktan Seçmeli Birden Çok Yanıt Doğru/Yanlış Ya/Ya da Ölçek/Likert Görüşü |
Her bir yanıt seçeneği belirleyen öğrenci sayısı | Eşleştirme Sıralama Birden Çok Boşluğu Doldurma |
Soruyu doğru, yanlış yapan veya atlayan öğrenci sayısı | Hesaplanmış Formül Hesaplanan Sayısal Değer Boşluğu Doldur Etkin Nokta Soru Oyunu |
Yalnızca soru metni | Kompozisyon Dosya Yanıtı Kısa Yanıt Karışık Cümle—Öğrencilerin seçtiği yanıtları da içerir |
Sembol göstergesi
Olası sorunlarla ilgili sizi uyarmak için soruların yanında semboller görünür.

Önerilen inceleme: Ayrım değerleri 0,1'den küçük olduğunda tetiklenir. Aynı zamanda zorluk değerleri %80'den fazla (soru çok kolaydı) veya %30'dan az (soru çok zordu) iken. Revizyon gerektirip gerektirmediğini belirlemek için soruyu gözden geçirin.
Soru dağıtımdan sonra değişmiş olabilir: Test dağıtıldıktan sonra sorunun bir bölümünün değiştiğini gösterir. Değişim, sorunun güvenilir olmayabileceği veri anlamına da gelebilir. Soru değiştirildikten sonra gönderilen denemeler değişiklikten faydalanmış olabilir.
Not
Bu gösterge geri yüklenen kurslar için gösterilmez.
Tüm gönderimlere not verilmedi: Kompozisyon soruları gibi manuel not verilmesi gereken sorular içeren bir test için görünür. 50 öğrenci denemesinin olduğu bir Deneme sorusu içeren bir testte, bu gösterge siz 50 denemenin tümüne not verene kadar görünür. Analiz yalnızca raporu çalıştırdığınızda not verdiğiniz denemeleri kullanır.
(QS) ve (RB): Bir sorunun bir soru kümesinden veya rastgele bloktan geldiğini belirtin. Rastgele soru teslimi nedeniyle, bazı soruların diğerlerine göre daha fazla deneme alabilir.
Çoklu denemeler, soruyu geçersiz kılmalar ve soru düzenlemeleri
Bu analiz aşağıdaki yöntemlerle çoklu denemeler, geçersiz kılmalar ve diğer yaygın senaryoları ele alır:
Öğrencilerin teste birçok defa girdiğinde, son gönderilen deneme analiz için girdi olarak kullanılır. Örneğin; üç denemeli bir test için A öğrencisi iki denemeyi tamamlar ve üçüncü denemeye devam etmektedir. A öğrencisinin denemesi Denemeler Devam Ediyor için listelenen sayıyı hesaba katar. A öğrencisinin daha önceki hiçbir denemesi şimdiki analiz verisine dâhil değildir. A öğrencisi üçüncü denemeyi gönderir göndermez, sonraki analizler A öğrencisinin üçüncü denemesini içerir.
Not Merkezi geçersiz kılmaları analiz verilerini etkilemez çünkü bu analiz, tamamlanan öğrenci denemeleri esas alınan sorular için istatistiksel veriler oluşturur.
Manuel olarak not verilen sorular veya değişiklik yapılan soru metni, doğru yanıt seçimi, kısmi kredi veya puanlar analiz raporunda otomatik olarak güncellenmez. Değişikliklerin verileri etkileyip etkilemediğini görmek için analizi yeniden çalıştırın.
Örnekler
Öge analizi size sonraki test yöneticileri için soruları geliştirmeniz için yardımcı olur. Aynı zamanda şimdiki bir testteki yanlış yönlendiren veya belirsiz soruları da düzeltebilirsiniz.
Çoktan Seçmeli bir soru, gözden geçirmeniz için bayraklanır. A doğru yanıt olmasına rağmen En İyi %25 öğrenciden daha fazlası B yanıtı seçer. Soruyu oluşturduğunuzda doğru cevabı seçmediğinizi fark edersiniz. Test sorusunu düzenlersiniz ve otomatik olarak yeniden puanlanır.
Çoktan Seçmeli bir soruda, eşit sayıda öğrenci A, B ve C'yi seçer. Çok belirsiz olup olmadıklarını, sorunun çok zor olup olmadığını veya materyalin kapsanıp kapsanmadığını belirlemek için yanıt seçeneklerini inceleyin.
Zor zorluk kategorisine girdiğinden, bir sorunun gözden geçirilmesi önerilir. Sorunun zor bir soru olduğunu belirleyin ancak kurs amaçlarınızı yeterince test etmek için gerekli olduğundan testte tutun.