Análisis de preguntas
El análisis de preguntas proporciona estadísticas sobre el desempeño general, la calidad de las evaluaciones y las preguntas individuales. Esta información le sirve para reconocer aquellas preguntas que no ayudan a diferenciar el rendimiento de los estudiantes. El análisis de preguntas es para evaluaciones con preguntas. Si desea verificar la calidad de las preguntas y realizar cambios, puede ejecutar un informe antes de que se realicen todas las entregas.
Usos del análisis de preguntas:
Mejorar las preguntas para las evaluaciones futuras o para ajustar los créditos en los intentos actuales;
Debatir sobre los resultados de las evaluaciones con la clase;
Proporcionar una base para el trabajo correctivo.
Mejorar la enseñanza en el aula.
Ejemplo:
Tras el análisis de preguntas, nota que la mayoría de los estudiantes responden a una pregunta de forma incorrecta. ¿Por qué se registra esta tasa baja de éxito?
¿La pregunta está expresada de un modo confuso?
¿Son poco claras las opciones de respuesta?
¿Los alumnos han recibido el contenido de aprendizaje correcto para responder correctamente esta pregunta?
¿El contenido que había que aprender era claro y se podía acceder a él con facilidad?
En función de lo que descubra, puede mejorar la pregunta para que evalúe realmente el conocimiento de los estudiantes.
Acceder al análisis de una evaluación
Puede ejecutar un informe de análisis de preguntas anterior y acceder a él desde las siguientes áreas del curso:
Página Contenido del curso > menú de la evaluación
Página Análisis del curso > pestaña Análisis de preguntas, en el caso de las instituciones que habilitaron el análisis
Libro de calificaciones
En la página Contenido del curso, acceda al menú de una evaluación y seleccione Análisis de preguntas. También puede seleccionar el ícono Análisis en la barra de navegación.

De forma alternativa, puede generar un informe de análisis de preguntas desde el libro de calificaciones. Acceda al menú de una evaluación y seleccione Análisis de preguntas.

Página Análisis de preguntas
Solo se puede acceder a la página Análisis de preguntas desde la barra de navegación > Análisis > página Análisis del curso > pestaña Análisis de preguntas.

Puede ejecutar un informe sobre una evaluación con entregas y sin preguntas, pero la información que obtenga no será útil.
Recibirá un mensaje que indica que el informe de análisis de preguntas está en curso y, una vez listo el informe, recibirá un correo electrónico. Puede dejar la página para trabajar en otras áreas del curso y luego volver para corroborar si el informe está listo.

Cada evaluación del curso aparece con uno de los siguientes estados:
Informe en curso
Completado el {fecha}
Los datos ya no están actualizados: evaluación ahora tiene más entregas para analizar.
No hay suficientes datos: No existen entregas. Opción Ejecutar informe deshabilitada.
No hay preguntas en la evaluación: La evaluación no tiene preguntas ni entregas. Opción Ejecutar informe deshabilitada.
No aparece ningún estado: la evaluación tiene preguntas y entregas, pero no ha ejecutado ningún informe. Opción Ejecutar informe habilitada.
Error: Ejecutar
Ver el resumen de la evaluación del análisis de preguntas
Luego de ejecutar un informe, puede ver los detalles y la información de resumen general de cada pregunta. Seleccione la evaluación en la página Análisis de preguntas para ver el resumen.
Nota
Solo los intentos enviados se utilizan en los cálculos. Si hay intentos en curso, estos se omitirán hasta que se entreguen y se vuelva a ejecutar el informe de análisis. Las calificaciones con ceros automáticos para los trabajos atrasados no se incluyen en los cálculos.

Resumen de las estadísticas para la evaluación individual:
Puntuación promedio: La puntuación que se muestra es la puntuación promedio informada para la evaluación en el libro de calificaciones. La puntuación promedio puede variar en caso de que se envíen y califiquen más intentos.
Posibles preguntas: El número total de preguntas en la evaluación.
Intentos completados: el número de evaluaciones enviadas.
Tiempo medio empleado: el tiempo medio de finalización de todos los intentos enviados.
Vuelva a ejecutar un informe o edite la evaluación para modificar las preguntas.
Use los gráficos para filtrar la tabla de preguntas. Seleccione elementos en ambos gráficos para acotar la búsqueda. Si no selecciona ningún elemento, aparecerán todas las preguntas en la tabla en la parte inferior de la página.
Discriminación: Indica qué tan bien las preguntas diferencian entre los estudiantes que conocen el tema y los que no.
Muestra la cantidad de preguntas que entran en estas categorías:
Buena (superior a 0,3)
Aceptable (entre 0,1 y 0,3)
Insatisfactoria (inferior a 0,1)
No se puede calcular: la dificultad de una pregunta es del 100% o todos los estudiantes recibieron la misma puntuación en una pregunta.
Las preguntas cuyos valores de discriminación entran en las categorías Buena y Aceptable permiten diferenciar entre estudiantes con niveles de conocimiento más y menos elevados.
Se recomienda revisar las preguntas de la categoría Insatisfactoria.
Dificultad: Porcentaje de estudiantes que respondieron correctamente a las preguntas
Muestra la cantidad de preguntas que entran en estas categorías:
Fácil (superior al 80 %)
Media (entre el 30 % y el 80 %)
Difícil (inferior al 30 %)
Se recomienda revisar las preguntas de las categorías Fácil y Difícil.
Seleccione un encabezado para ordenar las preguntas. Por ejemplo, ordene la columna Revisión para que aparezcan primero las preguntan que se deben revisar.
Borrar filtros: borra los filtros que seleccionaste en los gráficos y muestra todas las preguntas en la pestaña.
Descargue el informe de análisis de preguntas.
Acerca de la sección de preguntas en el resumen de la evaluación
La tabla de preguntas proporciona estadísticas de análisis para cada pregunta de la evaluación. Luego de usar los gráficos para filtrar la tabla de preguntas, puede ver y ordenar los resultados.
En general, las preguntas buenas entran en estas categorías:
Dificultad Media (entre el 30 % y el 80 %)
Valores de discriminación Buena o Aceptable (mayor que 0,1)
En general, las preguntas recomendadas para revisión entran en las siguientes tres categorías. Es posible que su calidad sea baja o que se hayan puntuado de manera incorrecta.
Dificultad fácil ( > 80 %) o difícil ( < 30 %)
Valores de discriminación insatisfactoria ( < 0,1)
Recordatorio: Si no realiza ninguna selección, todas las preguntas aparecen en la tabla en la parte inferior de la página.

Para investigar una pregunta específica, seleccione el título y revise los detalles de la pregunta.
En la tabla, se muestra la información de cada pregunta:
Necesita revisión: se activa cuando los valores de discriminación son inferiores a 0,1. También se activa si los valores de dificultad son superiores al 80 % (la pregunta era demasiado fácil) o inferiores al 30 % (la pregunta era demasiado difícil). Analice la pregunta para determinar si es necesario revisarla.
Pregunta modificada: muestra Sí si ejecuta un informe, luego cambia parte de una pregunta y vuelve a ejecutar el informe. También aparece Sí en caso de que, al crear la evaluación, haya copiado la pregunta desde otra evaluación.
Nota
Si aparece Sí en la columna Pregunta modificada de una pregunta, dicho Sí no se transfiere al archivar y restaurar el curso.
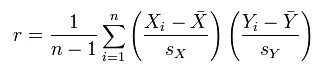
Discriminación: Indica qué tan bien una pregunta diferencia entre los estudiantes que conocen el tema y los que no. Se considera que una pregunta es un buen discriminador cuando los estudiantes que responden las preguntas de forma correcta también obtienen un buen resultado en la evaluación. Los valores pueden oscilar entre -1,0 y +1,0. Una pregunta se marca para revisión si su valor de discriminación es inferior a 0,1 o negativo. Los valores de discriminación no se pueden calcular si la puntuación de dificultad de la pregunta es del 100 % o si todos los estudiantes obtienen la misma puntuación en una pregunta.
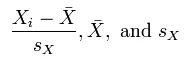
Los valores de discriminación se calculan mediante el coeficiente de correlación de Pearson. X representa la puntuación de cada alumno en una pregunta e Y representa la puntuación de cada alumno en la evaluación.

Estas variables son, respectivamente, la puntuación estándar, la media muestral y la desviación estándar muestral:

Dificultad: El porcentaje de estudiantes que respondieron correctamente a la pregunta. El porcentaje de dificultad se enumera junto con su categoría: Fácil (más del 80%), Medio (30% a 80%) y Difícil (menos del 30%). Los valores de dificultad pueden oscilar entre el 0 % y el 100 %. Un porcentaje alto indica que la pregunta era fácil. Las preguntas de las categorías fácil y difícil se marcan para su revisión.
Los niveles de dificultad que son ligeramente superiores a la media entre azar y puntuaciones perfectas diferencian mejor a los alumnos que conocen bien el material examinado de los que no lo hacen. Los valores de dificultad alta no garantizan niveles altos de discriminación.
Intentos calificados: Número de intentos de preguntas en los que se completa la calificación. Cuanto mayor sea el número de intentos calificados, más fiables serán las estadísticas calculadas.
Puntuación promedio: La puntuación que aparece es la puntuación promedio reportada para la evaluación en el libro de calificaciones. La puntuación promedio puede variar después de que se califiquen todos los intentos.
Ver detalles de una sola pregunta
Puede investigar las preguntas que estén marcadas para revisión y ver el desempeño de los estudiantes. En la tabla de preguntas de Análisis de preguntas, seleccione el título de una pregunta vinculada para acceder al resumen de la pregunta.

Una vez que acceda a una pregunta, use el menú del título de la pregunta para acceder a cualquier pregunta de la evaluación. Puede dirigirse a otras preguntas en orden en ambos lados de la página.
En la tabla de resumen, se muestran estadísticas de la pregunta.
Seleccione Editar evaluación para acceder a la evaluación y realizar cambios.
Aparece el texto de la pregunta junto con las opciones de respuesta. Puede ver cuántos estudiantes eligieron cada opción de respuesta o el porcentaje de respuestas correctas. Por ejemplo, en una pregunta de correspondencia, verá el porcentaje de estudiantes que unió los pares de forma correcta. El texto de las preguntas aparece solo para las preguntas de ensayo.
Acerca de varios intentos, anulaciones de preguntas y ediciones de preguntas
El análisis se encarga de algunos escenarios comunes de las siguientes maneras:
Si los estudiantes realizan una evaluación varias veces, se usa el último intento enviado como entrada para el análisis. Cuando los estudiantes envíen otro intento, los análisis posteriores incluirán ese intento nuevo.
Las anulaciones del libro de calificaciones no afectarán los datos del análisis ya que el análisis genera datos estadísticos para las preguntas basados en los intentos completos de los estudiantes.
Al modificar una pregunta o calificarla de forma manual, debe volver a ejecutar el análisis para determinar si los cambios afectan a los datos.
Ejemplos
El análisis de preguntas puede servirle para mejorar las preguntas para las administraciones de evaluaciones futuras. También puede corregir preguntas equívocas o ambiguas de una evaluación en curso.
En una pregunta de opción múltiple, la misma cantidad de estudiantes eligió las respuestas A, B y C. Examine las opciones de respuesta para determinar si son ambiguas, si la pregunta es demasiado difícil o si no se trató el material previamente en clase.
Se recomienda revisar una pregunta porque entra dentro de la categoría de dificultad "difícil". Concluye que es una pregunta difícil, pero la conserva para evaluar de forma adecuada los objetivos del curso.
Una pregunta de varias opciones se marcada para su revisión. Más del 25 % superior de los estudiantes eligió la respuesta B, pero la respuesta correcta es la A. Se da cuenta de que no eligió la respuesta correcta al crear la pregunta. Edite la pregunta de la evaluación y esta se vuelve a calificar de manera automática.
Descargar los resultados de la evaluación
Es posible que tenga descargar los resultados de los exámenes para analizarlos y evaluarlos de forma externa. El análisis externo es importante para apoyar los esfuerzos de evaluación y la calidad del curso. Además, las instituciones suelen recopilar los datos de evaluaciones para las actividades de revisión de programas y acreditación.
Puede descargar los resultados de la evaluación desde el libro de calificaciones:
En la vista Calificaciones, seleccione la evaluación para mostrar el menú de opciones y elija Descargar resultados.

En la vista Elementos calificables, seleccione el menú de opciones de la evaluación y elija Descargar resultados.

Al descargar los resultados, tendrá varias opciones.
Tipo de archivo: hoja de cálculo de Excel (.xls) o valores separados por comas (.csv). El formato predeterminado es .xls.
Formato de los resultados: Por estudiante o por pregunta y estudiante. La opción predeterminada es por estudiante.
Intentos de descarga: Todos los intentos o solo los intentos incluidos en el cálculo de la calificación. Puede definir qué intentos incluir en el cálculo de la calificación en la configuración Calificación intentos . La opción predeterminada es descargar solo los intentos utilizados para el cálculo.

El informe descargado incluye la siguiente información:
Nombre del estudiante
Nombre de usuario
Preguntas
Respuestas
Estado de la calificación
Cualquier contenido que el estudiante haya incluido en la entrega
Ejemplo del formato de descarga de resultados por estudiante:

Ejemplo del formato de descarga de resultados por estudiante y pregunta:

Importante
Si utiliza una calificación anónima, los resultados descargados excluyen los detalles de los estudiantes y de las puntuaciones hasta que se publiquen las calificaciones para todos los estudiantes.
Ver un video sobre cómo descargar los resultados de las evaluaciones
En el siguiente vídeo, podrá ver una representación visual y auditiva de la información que se presenta en esta página. Para obtener una descripción detallada de lo que se muestra en el vídeo, abra el vídeo en YouTube, vaya a Más acciones y seleccione Abrir transcripción.