Éditeur de mathématiques
Vous pouvez insérer des équations et des formules mathématiques dans des tests, des devoirs, des discussions et des journaux à l'aide de l'éditeur de mathématiques. Vous pouvez également saisir des formules LaTeX dans n'importe quel Rich Text Editor où l'éditeur de mathématiques est disponible. L'éditeur de mathématiques s'exécute sur tous les navigateurs et systèmes d'exploitation, y compris les smartphones et les tablettes. Lorsqu'il est activé, MathJax affiche le code LaTeX saisi dans l'éditeur de contenu dans les zones prises en charge de Blackboard. Si MathJax n'est pas activé, Wiris affichera les formules.
Les formules mathématiques sont restituées au format d'image PNG, qui ont une taille de fichier plus grande que le texte. L'affichage des formules mathématiques peut prendre quelques secondes, le temps que l'image se charge.
Les vitesses de connexion Internet et la taille du contenu affectent le temps de chargement. Certains étudiants peuvent avoir des difficultés à accéder au contenu avec de nombreuses images de formule.
Voici quelques recommandations pour réduire la taille de l'image et le temps de chargement des formules :
Créez chaque formule séparément avec l'éditeur de mathématiques ou LaTeX.
Évitez d'inclure des descriptions de question ou du texte supplémentaire dans l'éditeur de mathématiques ou le code LaTeX. Utilisez plutôt le Rich Text Editor pour écrire des questions, des instructions ou des descriptions textuelles, et utilisez uniquement l'éditeur de mathématiques ou LaTeX pour créer les formules mathématiques.
Par exemple, un professeur veut intégrer un problème mathématique d'accélération dans un test. Pour réduire la taille du fichier de contenu, le professeur rédige la description du problème et les valeurs variables directement dans le Rich Text Editor en texte brut. Le professeur écrit ensuite la formule d'accélération à l'aide de l'éditeur de mathématiques.

Utilisation de l'éditeur de mathématiques
Accédez à l'éditeur de mathématiques en sélectionnant l'icône + dans le Rich Text Editor. Sélectionnez Mathématique dans le menu.

Vous pouvez accéder à de nombreuses fonctionnalités de l'éditeur de mathématiques en sélectionnant les différents onglets en haut de l'écran.

Utilisez votre clavier pour saisir des chiffres, des lettres et des symboles. Sélectionnez l'icône appropriée dans l'éditeur de mathématiques pour créer des formules complexes, telles qu'une racine carrée.
Astuce
Astuce : si vous utilisez une option qui modifie le niveau du texte de votre formule (sous forme d'indice ou de fraction, par exemple), utilisez les touches fléchées de votre clavier pour revenir au niveau par défaut. Il est recommandé d’utiliser le clavier pour naviguer dans une formule.

Voici quelques options permettant de créer des formules dans l'éditeur de mathématiques.
Opérations de base : addition, soustraction, multiplication, division, racines carrées, exposants, fractions
Alphabet grec : alpha, bêta, gamma et autres
Calcul de matrices
Intégrales, variantes et limites
Fonctions trigonométriques : sinus (sin), cosinus (cos), tangente (tan)
Styles et tailles de police
Le site Web WIRIS fournit des informations détaillées sur toutes les fonctions de l'éditeur de mathématiques.
Utilisation de LaTeX dans le Rich Text Editor
LaTeX est un logiciel qui peut être utilisé pour créer une image d'une formule basée sur des conventions de codage écrites avec du texte brut. Le Rich Text Editor de Learn peut afficher le codage LaTeX.
Note
Les formules qui se divisent en plusieurs lignes dans LaTeX ne peuvent pas être restituées par le Rich Text Editor de Learn. Les formules multilignes commencent par /begin et finissent par /end.
Saisissez une formule LaTeX en écrivant le code entre les symboles $$ dans le Rich Text Editor.
Sélectionnez Enregistrer pour voir comment la formule s'affiche en tant qu'image. Vous pouvez revenir dans le Rich Text Editor pour modifier la formule jusqu’à ce qu’elle s’affiche correctement. Certaines activités, telles que les tests et les devoirs, n’autorisent pas les étudiants à enregistrer leur contenu dans le Rich Text Editor et à prévisualiser la formule LaTeX restituée. Les étudiants devront vérifier leur remise par la suite pour s'assurer que leur formule est correctement restituée.
Il n’est pas possible de modifier l’apparence des formules, par exemple les éléments en gras ou la taille de la police, à l’aide du Rich Text Editor. Pour modifier les styles ou les tailles de police de la formule, effectuez une sélection n'importe où dans la formule dans le Rich Text Editor, puis sélectionnez l'éditeur de mathématiques. Toutes les modifications apportées dans l'éditeur de mathématiques sont appliquées lors de l'enregistrement et de l'ajout au code LaTeX.
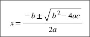
Exemple de formule formatée dans LaTeX
Une formule quadratique peut être mise en forme dans LaTeX.

1. Saisissez $$ dans le Rich Text Editor.
$$
2. Ensuite, saisissez le code LaTeX de la formule :
$$x = \frac {-b \pm \sqrt {b^2 - 4ac}}{2a}
3. Fermez votre formule en saisissant $$ à la fin.
$$x = \frac {-b \pm \sqrt {b^2 - 4ac}}{2a}$$

4. Sélectionnez Enregistrer dans le Rich Text Editor. La formule s'affiche sous la forme d'une image PNG. Le rendu de l'image peut prendre quelques secondes, selon votre connexion Internet et la taille du contenu.

5. Sélectionnez Modifier dans le Rich Text Editor pour revenir à votre code LaTeX.

6. Modifiez votre formule pour remplacer votre code LaTeX par du texte brut dans le Rich Text Editor. Par exemple, ajoutez une valeur +1 à la fin de la formule quadratique.
$$x = \frac {-b \pm \sqrt {b^2 - 4ac}}{2a}+1$$

7. Sélectionnez Enregistrer pour afficher la formule en tant que nouvelle image.

8. Vous pouvez apporter d'autres ajustements au style de la formule. Dans le Rich Text Editor, sélectionnez n'importe quel élément dans le code LaTeX.

Ouvrez l'éditeur de mathématiques.

Appliquez les styles souhaités à la formule. Par exemple, vous pouvez mettre en gras une partie de la formule et modifier la taille de la police.

9. Sélectionnez Enregistrer dans l'éditeur de mathématiques. Le code LaTeX de la formule quadratique avec vos ajustements de style est désormais :
$$\style{font-size:36px}{x=\frac{-b\pm\sqrt{\boldsymbol b^{\mathbf2}\boldsymbol-\mathbf4ac}}{2a}+1}$$

10. Sélectionnez Enregistrer dans le Rich Text Editor pour afficher la formule ajustée en tant qu'image.

Fonctionnalités d'accessibilité
Les images des formules mathématiques sont de grande qualité, les utilisateurs peuvent donc zoomer et l'image reste claire. Vous pouvez également modifier la taille de police pour aider vos étudiants. Les tailles de police plus grandes peuvent aider vos étudiants à voir les détails d'une formule avec de petits nombres et symboles.
Les formules sont accessibles aux lecteurs d'écran lorsque vous les créez et quand elles sont restituées sous forme d'images.

Le texte de remplacement pour les formules mathématiques est généré automatiquement en fonction des paramètres de langue de votre profil dans Learn. Les lecteurs d'écran suivent les paramètres de votre appareil local, y compris la langue, la vitesse et la voix. Pour bénéficier d'une meilleure expérience avec votre lecteur d'écran et le texte de remplacement, assurez-vous que les paramètres de langue dans Learn correspondent aux paramètres de votre appareil local.

Note
Si l'éditeur de mathématiques ou de texte enrichi ne prend pas en charge une langue, les formules sont lues en anglais.