Matematik Düzenleyicisi
Matematik düzenleyicisini kullanarak testlere, ödevlere, tartışmalara ve günlüklere matematik denklemleri ve formülleri ekleyebilirsiniz. Matematik düzenleyicisinin bir seçenek olarak sunulduğu herhangi bir zengin metin düzenleyicisine LaTeX formüllerini de yazabilirsiniz. Matematik düzenleyicisi, akıllı telefonlar ve tabletler de dâhil olmak üzere her tarayıcıda ve işletim sisteminde çalışır. Etkinleştirildiğinde, MathJax, İçerik Düzenleyicisi'ne girilen LaTeX kodunu Blackboard'un desteklenen alanlarında işler. MathJax etkinleştirilmezse, Wiris formülleri işleyecektir.
Matematik formülleri, metne göre daha büyük dosya boyutlarına sahip olan PNG görüntü biçiminde oluşturulur. Matematik formüllerinin görüntülenmesi birkaç saniye sürebilir.
İnternet bağlantı hızları ve içerik boyutu yüklenme süresini etkiler. Bazı öğrenciler, çok sayıda formül görüntüsü içeren içeriklere erişmekte zorluk çekebilir.
Formül görüntüsü boyutunu ve yüklenme süresini azaltacak bazı öneriler şunlardır:
Her formülü matematik düzenleyicisi veya LaTeX ile ayrı ayrı oluşturun.
Matematik düzenleyicisinin veya LaTeX kodunun içine soru açıklamaları veya ilave metinler eklemekten kaçının. Bunun yerine; soruları, yönergeleri veya metne dayalı açıklamaları yazmak için zengin metin düzenleyicisini kullanıp matematik düzenleyicisini veya LaTeX'i yalnızca matematik formüllerini oluşturmak için kullanın.
Örneğin, eğitmenin testte hızlanma ile ilgili bir matematik problemi yazdığını düşünelim. İçerik dosyasının boyutunu küçültmek için eğitmen, sorunun açıklamasını ve değişken değerlerini doğrudan zengin metin düzenleyicisine düz metin şeklinde yazar. Eğitmen, bunun ardından matematik düzenleyicisini kullanarak hızlanma formülünü yazar.

Matematik düzenleyicisini kullanma
Zengin metin düzenleyicisinde + simgesini seçerek matematik düzenleyicisine erişin. Menüden Matematik seçeneğini seçin.

Matematik düzenleyicisindeki birçok özelliğe üst kısımdaki farklı sekmeleri seçerek erişebilirsiniz.

Sayı, harf ve sembol girmek için klavyenizi kullanın. Karekök oluşturma gibi karmaşık formülleri oluşturmak için matematik düzenleyicisinde uygun simgeyi seçin.
İpucu
İPUCU: Alt simge veya kesir gibi formülünüzün metin seviyesini değiştiren bir seçenek kullanıyorsanız varsayılan seviyeye dönmek için klavyenizdeki ok tuşlarını kullanın. Formülün içinde gezinmek için klavyeyi kullanmanızı öneririz.

Matematik düzenleyicisinde formül oluşturma seçeneklerinden bazıları şunlardır:
Temel işlemler: toplama, çıkarma, çarpma, bölme, karekökler, üsler, kesirler
Yunan alfabesi: alfa, beta, gama ve diğerleri
Matris hesabı
İntegraller, türevler ve limitler
Trigonometrik fonksiyonlar: sinüs (sin), kosinüs (cos), tanjant (tan)
Yazı tipi stilleri ve boyutları
WIRIS web sitesi, matematik düzenleyicisinin tüm işlevleri hakkında ayrıntılı bilgiler verir.
Zengin metin düzenleyicisinde LaTeX'i kullanma
LaTeX, düz metinle yazılmış bir formülün görüntüsünü kodlama kurallarına dayanarak oluşturmak için kullanılabilecek bir yazılımdır. Learn'ün zengin metin düzenleyicisi LaTeX kodlamasını işleyebilir.
Not
LaTeX'te birden fazla satıra bölünen formüller, Learn'ün zengin metin düzenleyicisi tarafından işlenemez. Çok satırlı formüller /begin ifadesi ile başlar ve /end ifadesi ile biter.
Zengin metin düzenleyicisinde, ilgili kodu $$ sembollerinin içine yazarak bir LaTeX formülü girin.
Formülün nasıl görüntüleneceğini görmek için Kaydet seçeneğini seçin. Doğru görüntülenene kadar formülü düzenlemek için zengin metin düzenleyicisine geri dönebilirsiniz. Testler ve ödevler gibi bazı etkinlikler, öğrencilerin oluşturulan LaTeX formülünü zengin metin düzenleyicisinde kaydetmesine ve ön izlemesine izin vermez. Öğrenciler, formüllerinin doğru oluşturulduğuna emin olmak için sonrasında gönderimlerini kontrol etmek zorundadır.
Yazı tipini kalınlaştırma veya yazı tipi boyutunu değiştirme gibi formüllerin görünümünü etkileyen değişiklikler, zengin metin düzenleyicisi kullanılarak yapılamaz. Formülün yazı tipi stillerini veya boyutlarını değiştirmek için, önce zengin metin düzenleyicisinde formülün herhangi bir noktasını seçip sonra da matematik düzenleyicisini seçebilirsiniz. Matematik düzenleyicisinde yapılan tüm değişiklikler, kaydettiğiniz zaman uygulanır ve LaTeX koduna eklenir.
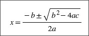
LaTeX'te biçimlendirilmiş bir formül örneği
İkinci dereceden denklem formülü, LaTeX'te biçimlendirilebilir.

1. Zengin metin düzenleyicisine $$ yazın.
$$
2. Ardından, formülün LaTeX kodunu girin:
$$x = \frac {-b \pm \sqrt {b^2 - 4ac}}{2a}
3. Sonuna $$ yazarak formülünüzü kapatın.
$$x = \frac {-b \pm \sqrt {b^2 - 4ac}}{2a}$$

4. Zengin metin düzenleyicisinde Kaydet seçeneğini seçin. Matematik formülü, PNG görüntüsü olarak oluşturulur. Görüntünün oluşturulması, internet bağlantınıza ve içerik boyutunuza bağlı olarak birkaç saniye sürebilir.

5. LaTeX kodunuza geri dönmek için zengin metin düzenleyicisinde Düzenle'yi seçin.

6. LaTeX kodunuzun üzerine yazılması için zengin metin düzenleyicisinin içinde düz metin olarak formülünüzü düzenleyin. Örneğin, ikinci dereceden denklem formülünün sonuna +1 ifadesini ekleyin.
$$x = \frac {-b \pm \sqrt {b^2 - 4ac}}{2a}+1$$

7. Formülü yeni bir görüntü olarak oluşturmak için Kaydet seçeneğini seçin.

8. Formülün stilinde daha fazla ayarlama yapabilirsiniz. Zengin metin düzenleyicisinde, LaTeX kodunun içindeki herhangi bir şeyi seçin.

Matematik düzenleyicisini açın.

Formüle istediğiniz stilleri uygulayın. Örneğin, formülün bir bölümünü kalınlaştırabilir ve yazı tipi boyutunu değiştirebilirsiniz.

9. Matematik düzenleyicisinde Kaydet seçeneğini seçin. İkinci dereceden denklem formülünün stil ayarlamalarınızı da içeren LaTeX kodu şu şekildedir:
$$\style{font-size:36px}{x=\frac{-b\pm\sqrt{\boldsymbol b^{\mathbf2}\boldsymbol-\mathbf4ac}}{2a}+1}$$

Ayarlanan formülünüzü görüntü olarak oluşturmak için zengin metin düzenleyicisinde Kaydet seçeneğini seçin.

Erişilebilirlik özellikleri
Matematik formülü görüntüleri yüksek kalitededir. Bu sayede, kullanıcılar görüntüyü yakınlaştırsalar da netlik bozulmaz. Öğrencilerinize yardımcı olmak için yazı tipi boyutunu da değiştirebilirsiniz. Daha büyük yazı tipi boyutları, öğrencilerinizin küçük sayılar ve simgeler içeren bir formülün ayrıntılarını görmesine yardımcı olabilir.
Siz onları oluşturduğunuz sırada ve görüntü şeklinde oluşturulmalarının ardından, ekran okuyucular tarafından formüllere erişilebilir.

Matematik formülleri için alternatif metin, Learn profilinizdeki dil ayarınıza göre otomatik olarak oluşturulur. Ekran okuyucular dil, hız ve ses dâhil olmak üzere yerel cihaz ayarlarınızı izler. Ekran okuyucunuz ve alternatif metninizle daha iyi bir deneyim yaşamak için Learn'deki dil ayarınızın yerel cihazınızdaki ayarlarla eşleştiğine emin olun.

Not
Bir dil matematik düzenleyicisi veya zengin metin tarafından desteklenmiyorsa formüller İngilizce olarak okunur.