수학 편집기
수학 편집기를 사용하여 수학 방정식과 공식을 테스트, 과제, 토론 및 저널에 삽입할 수 있습니다. 또한 수학 편집기가 옵션인 텍스트 편집기에 LaTeX 수식을 입력할 수 있습니다. 수학 편집기는 스마트폰과 태블릿을 포함한 모든 브라우저와 운영 체제에서 실행됩니다. 활성화되면 MathJax는 콘텐츠 편집기에 입력된 LaTeX 코드를 내 Blackboard의 지원되는 영역에서 렌더링합니다. MathJax가 활성화되지 않은 경우 Wiris는 수식을 렌더링합니다.
수학 공식은 텍스트보다 파일 크기가 큰 PNG 이미지 형식으로 렌더링됩니다. 수학 수식이 표시되는 데 몇 초 정도 걸릴 수 있습니다.
인터넷 연결 속도와 콘텐츠 크기는 로딩 시간에 영향을 줍니다. 일부 학생들은 수식 이미지가 많은 콘텐츠에 접근하는 데 어려움을 겪을 수 있습니다.
수식 이미지 크기와 로딩 시간을 줄이기 위한 몇 가지 권장 사항은 다음과 같습니다:
수학 편집기 또는 LaTeX를 사용하여 각 공식을 개별적으로 만듭니다.
수학 편집기 또는 LaTeX 코드 내부에 질문 설명이나 추가 텍스트를 포함하지 마십시오. 대신 서식 있는 텍스트 편집기를 사용하여 질문, 지침 또는 텍스트 설명을 작성하고 수학 편집기 또는 LaTeX만 사용하여 수학 공식을 만드십시오.
예를 들어, 교수자가 테스트에서 가속도 수학 문제를 씁니다. 콘텐츠 파일 크기를 줄이기 위해 교수자는 문제 및 변수 값에 대한 설명을 서식 있는 텍스트 편집기에서 일반 텍스트로 직접 작성합니다. 그런 다음 교수자는 수학 편집기를 사용하여 가속도 공식을 작성합니다.

수학 편집기 사용
서식 있는 텍스트 편집기에서 + 아이콘을 선택하여 수학 편집기에 접근합니다. 메뉴에서 수학을 선택합니다.

수학 편집기의 많은 기능은 맨 위에 있는 다른 탭을 선택하여 액세스할 수 있습니다.

키보드를 사용하여 숫자, 문자 및 기호를 입력합니다. 수학 편집기에서 적절한 아이콘을 선택하여 제곱근 만들기와 같은 복잡한 수식을 만듭니다.
작은 정보
팁: 수식의 텍스트 수준을 변경하는 옵션(예: 아래 첨자 또는 분수)을 사용하는 경우 키보드의 화살표 키를 사용하여 기본 수준으로 돌아갑니다. 키보드를 사용하여 수식 내에서 탐색하는 것이 좋습니다.

수학 편집기에서 수식을 작성하기 위한 몇 가지 옵션은 다음과 같습니다:
기본 연산: 덧셈, 뺄셈, 곱셈, 나눗셈, 제곱근, 지수, 분수
그리스 알파벳: 알파, 베타, 감마 등 •
행렬 미적분학
적분, 파생 상품 및 한계
삼각 함수: 사인(sin), 코사인(cos), 탄젠트(tan)
글꼴 스타일 및 크기
WIRIS 웹 사이트는 수학 편집기의 모든 기능에 대한 자세한 정보를 제공합니다.
작은 정보
서식 있는 텍스트 편집기에서 LaTeX 사용
LaTeX는 일반 텍스트로 작성된 코딩 규칙을 기반으로 수식의 이미지를 만드는 데 사용할 수 있는 소프트웨어입니다. Learn의 서식 있는 텍스트 편집기는 LaTeX 코딩을 렌더링할 수 있습니다.
참고
LaTeX에서 여러 줄로 나누는 공식은 Learn의 서식 있는 텍스트 편집기에서 렌더링할 수 없습니다. 여러 줄로 된 수식은 /begin으로 시작하고 /end로 끝납니다.
서식 있는 텍스트 편집기에서 $$ 기호 사이에 특정 코드를 작성하여 LaTeX 수식을 입력합니다.
저장을 선택하여 수식이 이미지로 표시되는 방식을 검토합니다. 서식 있는 텍스트 편집기로 돌아가서 올바르게 표시될 때까지 수식을 편집할 수 있습니다. 테스트 및 과제와 같은 일부 활동에서는 학습자가 서식 있는 텍스트 편집기에 저장하고 렌더링된 LaTeX 공식을 미리 보기가 지원되지 않습니다. 학습자는 나중에 제출물을 확인하여 공식이 올바르게 렌더링되었는지 확인해야 합니다.
굵게 표시하거나 글꼴 크기를 변경하는 등의 수식 모양 변경은 서식 있는 텍스트 편집기를 사용하여 수행할 수 없습니다. 수식의 글꼴 스타일이나 크기를 변경하려면 서식 있는 텍스트 편집기의 수식 내의 아무 곳이나 선택한 다음 수학 편집기를 선택할 수 있습니다. 수학 편집기에서 변경한 모든 사항은 저장하고 LaTeX 코드에 추가할 때 적용됩니다.
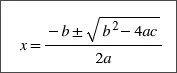
LaTeX에서 포맷된 공식의 예시
2차 공식은 LaTeX로 형식을 지정할 수 있습니다.

1. 서식 있는 텍스트 편집기에서 $$를 입력합니다.
$$
2. 다음으로 수식에 대한 LaTeX 코드를 입력합니다:
$$x = \frac {-b \pm \sqrt {b^2 - 4ac}}{2a}
3. 끝에 $$를 입력하여 수식을 닫습니다.
$$x = \frac {-b \pm \sqrt {b^2 - 4ac}}{2a}$$

4. 서식 있는 텍스트 편집기에서 저장을 선택합니다. 수학 공식은 PNG 이미지로 렌더링됩니다. 이미지를 렌더링하는 데 인터넷 연결 및 콘텐츠 크기에 따라 몇 초 정도 걸릴 수 있습니다.

5. 서식 있는 텍스트 편집기에서 편집를 선택하여 LaTeX 코드로 돌아갑니다.

6. 수식을 편집하여 서식 있는 텍스트 편집기 내에서 LaTeX 코드를 일반 텍스트로 덮어씁니다. 예를 들어, 2차 공식의 끝에 +1을 추가합니다.
$$x = \frac {-b \pm \sqrt {b^2 - 4ac}}{2a}+1$$

7. 저장을 선택하여 수식을 새 이미지로 렌더링합니다.

8. 수식 스타일을 추가로 조정할 수 있습니다. 서식 있는 텍스트 편집기에서 LaTeX 코드 내의 아무 항목이나 선택합니다.

수학 편집기를 엽니다.

원하는 스타일을 수식에 적용합니다. 예를 들어 수식의 일부를 굵게 표시하고 글꼴 크기를 변경할 수 있습니다.

9. 수학 편집기에서 저장을 선택합니다. 스타일 조정이 있는 2차 공식에 대한 LaTeX 코드는 이제 다음과 같습니다:
$$\style{font-size:36px}{x=\frac{-b\pm\sqrt{\boldsymbol b^{\mathbf_2_\boldsymbol-\mathbf4ac}}{2a}+1}$$

10. 서식 있는 텍스트 편집기에서 저장을 선택하여 조정된 수식을 이미지로 렌더링합니다.

접근성 기능
수학 공식 이미지는 고품질이므로 사용자가 확대할 수 있으며 이미지가 여전히 선명합니다. 글꼴 크기를 변경하여 학생들을 돕는 것도 가능합니다. 글꼴 크기가 클수록 학생들이 작은 숫자와 기호가 있는 공식의 세부 정보를 보는 데 도움이 될 수 있습니다.
수식은 사용자가 수식을 만들 때와 이미지로 렌더링될 때 화면 판독기에서 액세스할 수 있습니다.

수학 공식에 대한 대체 텍스트는 Learn의 프로필에 있는 언어 설정에 따라 자동으로 생성됩니다. 스크린 리더는 언어, 속도, 음성을 포함한 로컬 기기 설정을 따릅니다. 화면 리더 및 대체 텍스트를 더 잘 사용하려면 Learn의 언어 설정이 로컬 장치의 설정과 일치해야 합니다.

참고
수학 편집기 또는 서식 있는 텍스트에서 지원되지 않는 언어인 경우 수식을 영어로 읽습니다.