公式编辑器
您可以使用公式编辑器将数学方程和公式插入到测试、作业、讨论和日记中。您还可以在任何可以选择公式编辑器的富文本编辑器中输入 LaTeX 公式。公式编辑器可在任何浏览器和操作系统上运行,包括智能手机和平板电脑。激活后,MathJax 会在 Blackboard 支持的区域中呈现在内容编辑器中输入的 LaTeX 代码。如果未激活 MathJax,Wiris 将呈现公式。
数学公式以 PNG 图像格式呈现,其文件大小比文本更大。在图像显示之前,数学公式可能需要几秒钟的时间才会出现。
互联网连接速度和内容大小会影响加载时间。一些学生可能难以理解包含许多公式图像的内容。
减少公式图像大小和加载时间的一些建议:
使用公式编辑器或 LaTeX 单独创建每个公式。
避免在公式编辑器或 LaTeX 代码中包含问题描述或额外文本。相反,请使用富文本编辑器编写任何问题、说明或文本描述,并且仅使用公式编辑器或 LaTeX 创建数学公式。
例如,教师在测试中编写加速数学问题。为了减少内容文件的大小,讲师直接在富文本编辑器中以纯文本形式编写问题描述和变量值。然后,教师使用公式编辑器编写加速公式。

使用公式编辑器
在富文本编辑器中选择 + 图标,可以访问公式编辑器。在该菜单中选择数学。

可以通过选择顶部的不同标签来访问公式编辑器中的许多功能。

使用键盘输入数字、字母和符号。在公式编辑器中选择适当的图标以创建复杂的公式,例如创建平方根。
提示
如果您使用的选项会更改公式的文本级别(例如下标或分数),请使用键盘上的箭头键返回到默认级别。我们建议使用键盘在公式内导航。

在数学编辑器中构建公式的一些选项包括:
基本运算:加法、减法、乘法、除法、平方根、指数、分数
希腊字母表:alpha、beta、gamma 等 •
矩阵计算
积分、导数和极限
三角函数:正弦 (sin)、余弦 (cos)、正切 (tan)
字体样式和大小
WIRIS 网站提供了有关数学编辑器所有功能的详细信息。
在富文本编辑器中使用 LaTeX
LaTeX 是一款软件,可用于根据纯文本编写的编码约定创建公式图像的。Learn 的富文本编辑器可以呈现 LaTeX 编码。
注意
Learn 的富文本编辑器无法呈现 LaTeX 中跨多行的公式。多行公式以 /begin 开头,以 /end 结束。
通过在富文本编辑器中的 $$ 符号内编写特定代码来输入 LaTeX 公式。
选择保存,查看公式如何显示为图像。您可以返回富文本编辑器编辑公式,直到其正确显示。某些活动(例如测试和作业)不允许学生在富文本编辑器中保存并预览呈现的 LaTeX 公式。学生必须随后检查他们提交的内容,以确保他们的公式正确呈现。
不能使用富文本编辑器更改公式的外观(如粗体或更改字体大小)。要更改公式的字体样式或大小,您可以在富文本编辑器中选择公式内的任意位置,然后选择公式编辑器。当您保存并添加到 LaTeX 代码时,在公式编辑器中做出的所有更改都将被应用。
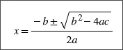
二次公式可以用 LaTeX 格式化。

1. 在富文本编辑器中输入 $$。
$$
2. 接下来,输入公式的 LaTeX 代码:
$$x = \frac {-b \pm \sqrt {b^2 - 4ac}}{2a}
3. 在公式末尾输入 $$ 来结束公式。
$$x = \frac {-b \pm \sqrt {b^2 - 4ac}}{2a}$$

4. 在富文本编辑器中选择保存。数学公式将呈现为 PNG 图像。呈现图像可能需要几秒钟,具体取决于您的互联网连接和内容大小。

5. 在富文本编辑器中选择编辑以返回您的 LaTeX 代码。

6. 编辑公式以在富文本编辑器中将 LaTeX 代码覆盖为纯文本。例如,向二次公式末尾添加 +1。
$$x = \frac {-b \pm \sqrt {b^2 - 4ac}}{2a}+1$$

7. 选择保存,将公式呈现为新图像。

8. 您可以对公式的样式进行进一步调整。在富文本编辑器中,选择 LaTeX 代码内的任意内容。

打开公式编辑器。

将您希望的样式应用于公式。例如,您可以加粗公式的一部分并更改字体大小。

9. 在公式编辑器中选择保存。带样式调整的一次公式的 LaTeX 代码现在为:
$$\style{font-size:36px}{x=\frac{-b\pm\sqrt{\boldsymbol b^{\mathbf2}\boldsymbol-\mathbf4ac}}{2a}+1}$$

10. 在富文本编辑器中选择保存,将调整后的公式呈现为图像。

无障碍访问功能
数学公式图像质量较高,因此用户可以放大图像,图像仍然清晰。您也可以更改字体大小以帮助您的学生。较大的字体可以帮助您的学生详细地看清带有小数和符号的公式。
在您创建公式并将其呈现为图像时,屏幕阅读器可以访问公式。

数学公式的替代文本会根据您在 Learn 中的个人资料中的语言设置自动生成。屏幕阅读器遵循您的本地设备设置,包括语言、速度和语音。为了获得更好的屏幕阅读器和替代文本体验,请确保 Learn 中的语言设置与本地设备上的设置相匹配。

注意
如果公式编辑器或富文本不支持某种语言,则将以英语读取公式。