Matteredigering
Du kan sette inn matematiske ligninger og formler i prøver, oppgaver, diskusjoner og dagbøker med matteredigeringen. Du kan også skrive inn LaTeX-formler i et hvilket som helst redigeringsprogram for rik tekst der matteredigeringen er et alternativ. Matteredigeringen kjører på alle nettlesere og operativsystemer, inkludert smarttelefoner og nettbrett. Når den er aktivert, gjengir MathJax LaTeX-kode som er lagt inn i Redigeringsverktøyet på tvers av støttede områder i Blackboard. Hvis MathJax ikke er aktivert, vil Wiris gjengi formler.
Matteformler gjengis i PNG-bildeformatet, som har større filstørrelser enn tekst. Det kan gå noen sekunder før bildet vises.
Internett-tilkoblingshastigheter og -innholdsstørrelse påvirker innlastingstiden. Enkelte studenter kan ha problemer med å få tilgang til innhold med mange formelbilder.
Her vises noen anbefalinger om hvordan du reduserer størrelsen på og innlastingstiden for formelbilder:
Opprett hver formel separat med enten matteredigeringen eller LaTeX.
Unngå å ta med spørsmålsbeskrivelser eller ekstra tekst i matteredigeringen eller LaTeX-kode. Bruk i stedet redigeringsprogrammet for rik tekst til å skrive eventuelle spørsmål, instruksjoner eller tekstbeskrivelser og bare bruke matteredigeringen eller LaTeX til å lage matteformler.
En underviser skriver for eksempel et akselerasjonsmatteproblem i en prøve. For å redusere filstørrelsen på innholdet skriver underviseren beskrivelsen av problem- og variabelverdiene direkte inn i redigeringsprogrammet for rik tekst. Underviseren skriver så akselerasjonsformelen ved hjelp av matteredigeringen.

Bruke matteredigeringen
Få tilgang til matteredigeringen ved å velge ikonet + ikonet i redigeringsprogrammet for rik tekst. Velg Matte i menyen.

Du får tilgang til mange funksjoner i matteredigeringen ved å velge forskjellige faner øverst.

Bruk tastaturet til å skrive inn tall, bokstaver og symboler. Velg passende ikon i matteredigeringen for å opprette komplekse formler, som å lage en kvadratrot.
Tips
Hvis du bruker et alternativ som endrer tekstnivået for formelen din, for eksempel senket skrift eller brøk, bruker du piltastene på tastaturet for å gå tilbake til standardnivået. Vi anbefaler at du bruker tastaturet til å navigere i en formel.

Her er enkelte av alternativene for å bygge formler i matteredigeringen:
Grunnleggende operasjoner: addisjon, subtraksjon, multiplikasjon, divisjon, kvadratrøtter, eksponenter, brøker
Gresk alfabet: alfa, beta, gamma og andre
Matematisk analyse med matriser
Integraler, derivater og grenser
Trigonometriske funksjoner: sinus (sin), cosinus (cos), tangens (tan)
Skriftstiler og -størrelser
WIRIS-nettstedet inneholder detaljert informasjon om alle funksjonene i matteredigeringen.
Bruke LaTeX i redigeringsprogrammet for rik tekst
LaTeX er en programvare som kan brukes til å lage et bilde av en formel basert på kodekonvensjoner som er skrevet med ren tekst. Redigeringsprogrammet for rik tekst i Learn kan gjengi LaTeX-koding.
Notat
Formler som går over flere linjer i LaTeX, kan ikke gjengis i redigeringsprogrammet for rik tekst i Learn. Formler med flere linjer starter med /start og fullføres med /end.
Angi en LaTeX-formel ved å skrive den spesifikke koden i $$-symboler i redigeringsprogrammet for rik tekst.
Velg Lagre for å gå gjennom hvordan formelen vises et bilde. Du kan gå tilbake til redigeringsprogrammet for rik tekst for å redigere formelen til den vises som den skal. Enkelte aktiviteter, som prøver og oppgaver, tillater ikke at studentene lagrer i redigeringsprogrammet for rik tekst og forhåndsviser den gjengitte LaTeX-formelen. Studenter må kontrollere innsendingen senere for å sikre at formelen er gjengitt på riktig måte.
Det er ikke mulig å endre utseendet på formler, for eksempel fet skrift eller endre skriftstørrelse, ved å bruke redigeringsprogrammet for rik tekst. Dersom du vil endre skriftstiler eller -størrelser på formelen, kan du velge hvor som helst i formelen i redigeringsprogrammet for rik tekst og deretter velge matteredigeringen. Alle endringer som foretas i matteredigeringen brukes når du lagrer og legger til LaTeX-koden.
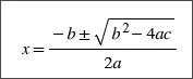
Eksempel på formler formatert i LaTeX
Den kvadratiske formelen kan formateres i LaTeX.

1. Angi $$ i redigeringsprogrammet for rik tekst.
$$
2. Angi LaTeX-koden for formelen:
$$x = \frac {-b \pm \sqrt {b^2 - 4ac}}{2a}
3. Lukk formelen ved å angi $$ på slutten.
$$x = \frac {-b \pm \sqrt {b^2 - 4ac}}{2a}$$

4. Velg Lagre i redigeringsprogrammet for rik tekst. Matteformelen gjengis som et PNG-bilde. Gjengivelsen av bildet kan ta et par sekunder, avhengig av Internett-tilkoblingen og innholdsstørrelsen.

5. Velg Rediger i redigeringsprogrammet for rik tekst for å gå tilbake til LaTeX-koden din.

6. Rediger formelen for å overskrive LaTeX-koden som ren tekst i redigeringsprogrammet for rik tekst. Legg for eksempel til +1 i slutten av den kvadratiske formelen.
$$x = \frac {-b \pm \sqrt {b^2 - 4ac}}{2a}+1$$

7. Velg Lagre for å gjengi formelen som et nytt bilde.

8. Du kan foreta flere justeringer i formelens stil. Velg hva som helst i LaTeX-koden i redigeringsprogrammet for rik tekst.

Åpne matteredigeringen.

Bruk stilene du ønsker å bruke i formelen. Du kan for eksempel bruke fet skrift i formelen og endre skriftstørrelsen.

9. Velg Lagre i matteredigeringen. LaTeX-koden for den kvadratiske formelen med stiljusteringene dine er nå:
$$\style{font-size:36px}{x=\frac{-b\pm\sqrt{\boldsymbol b^{\mathbf2}\boldsymbol-\mathbf4ac}}{2a}+1}$$

10. Velg Lagre i redigeringsprogrammet for rik tekst for å gjengi den justerte formelen din som et bilde.

Tilgjengelighetsfunksjoner
Matteformelbilder er av høy kvalitet, så brukerne kan zoome inn og bildet vil fortsatt være klart. Du kan også endre skriftstørrelsen for å hjelpe studentene dine. Større skriftstørrelser kan hjelpe studentene dine med å se detaljene for formler med små tall og symboler.
Formler er tilgjengelige for skjermlesere når du oppretter dem og når de gjengis som bilder.

Alternativ tekst for matteformler genereres automatisk basert på språkinnstillingen i profilen din i Learn. Skjermlesere følger de lokale enhetsinnstillingene dine, inkludert språk, hastighet og tale. For en bedre opplevelse med skjermleseren og den alternative teksten må du sørge for at språkinnstillingen i Learn stemmer overens med innstillingene på den lokale enheten din.

Notat
Hvis et språk ikke støttes av matteredigeringen eller rik tekst, leses formler på engelsk.