ORIGINAL 項目分析
項目分析では、パフォーマンス全体の統計、テストの質の統計、個々の質問の統計が生成されます。このデータは、学生のパフォーマンスの評価基準としてふさわしくない問題を特定するのに役立ちます。
項目分析を使用して、次のことができます。
将来のテスト管理のため問題を改善したり、現在の答案の評価を調整する。
テスト結果についてクラスでディスカッションを行う。
補習の基準にする。
クラスルームについての説明を改善する。
例:
項目分析の結果、1つの問題に対して大半の学生が不正解であることがわかりました。正答率が低い理由は何でしょうか。
問題の言い回しがわかりにくいのか?
解答の選択肢が不明瞭なのか?
この問題に正解するための適切なコンテンツを学生に提供したか?
学習コンテンツへのアクセスが容易で、内容がわかりやすかったか?
分析の結果をもとにテスト問題を改善することで、学生が理解している内容と理解していない内容を正しく評価できるようにします。
テストで項目分析を実行する
項目の分析は、提出済み答案のある配置済みのテストで実行できますが、アンケートでは実行できません。
テストには、1回または複数回の実施、問題セット、ランダムブロック、自動採点の問題タイプ、および手動採点が必要な問題が含まれることがあります。得点をまだ割り当てていない手動採点の問題のあるテストの場合は、採点済みの問題についてのみ統計が生成されます。手動で問題を採点した後は、分析を再度実行してください。手動採点された問題の統計が生成され、テストの統計の概要が更新されます。
最良の結果を得るには、すべての答案が学生から提出され、すべての手動採点の問題を採点してから、テストの分析を実行します。統計の値は、テストの答案数、テストを受けた学生のタイプ、エラーの可能性によって変わります。
採点権限を持つロール (教員、採点者、ティーチングアシスタント) は、テストのワークフロー内の3か所で項目分析にアクセスします。
コンテンツエリアに配置されたテスト
[テスト]ページに一覧表示された配置済みテスト
テストの成績管理の列
テストのメニューにアクセスし、[項目の分析]を選択します。
[テストの選択]メニューで、テストを選択します。導入済みのテストのみが一覧表示されます。
[実行]を選択します。
[利用可能な分析]セクションで新しいレポートのリンクを選択するか、ページ上部のステータス受信部の[分析の表示]を選択します。
![[利用可能な分析]セクションで新しいレポートのリンクを選択するか、ページ上部のステータス受信部の[分析の表示]を選択します。](../../image/img-7c74bdeea2fc5986caab52ac254e336a.jpg)
注記
以前実行した分析は、[利用可能な分析]セクションでアクセスできます。
[項目の分析]ページの[テストの概要]
[テストの概要]には、テスト全体のデータが表示されます。
![テストの [項目分析] ページ](../../image/img-d41e19fca02f709c00ebc1caa5ebff26.jpg)
[テストの編集]から、[テストキャンバス]にアクセスして、テストを変更することができます。
テストの統計を表示するには
可能なポイント: テストの合計ポイント数。
考えられる問題: テストの問題の総数。
進行中の答案: 現在テストを受験しているが、まだ提出していない学生の数。
完了した試行回数: 提出するされたテストの数。
平均スコア: アスタリスクが付けられた得点は、一部の答案が採点されていないため、すべての答案を採点した後に平均点が変更される場合があることを示します。表示される得点は、成績管理でこのテストについて報告された平均点です。
平均時間: 提出するされたすべての試行の平均完了時間。
識別指数: 良い (0.3を超える)、普通 (0.1から0.3)、不可 (0.1未満) のカテゴリに分類される問題の数が表示されます。識別力値は、問題の難易度が100%の場合、または問題についてすべての学生が同じ得点だった場合に[計算できません]と表示されます。[良い]および[中程度]カテゴリの識別力値の問題は、高い知識レベルの受講者と低い知識レベルの受講者とを区別するのに適しています。悪いのカテゴリに属する問題は見直すことをお勧めします。
難易度: 簡単 (80%を超える)、中程度 (30%から80%)、高 (難易度) (30%未満) のカテゴリに分類される問題の数が表示されます。難易度は問題に正解した学生のパーセンテージです。[簡単]または[難しい]カテゴリの問題は、見直すことが推奨され、赤い丸が付けられています。
注記
採点済みの答案のみが項目の分析の計算に使用されます。実行中の答案がある場合、それらの答案は、提出されて教員が分析レポートを再度実行するまで無視されます。
[項目の分析]ページの問題統計表
問題の統計表には、テストの問題項目ごとに分析統計が示されます。改訂する必要がある問題をすばやく見渡すことができるように、見直しが推奨される問題には赤い丸が付けられています。
通常、優れた問題は次のカテゴリに属します。
[中程度] (30%から80%) の難易度
[良い]または[普通] (0.1を超える) の識別力の値
通常、見直しを必要とする問題は次のカテゴリに入ります。品質が低いか、採点が誤っている場合があります。
難易度が[簡単] (> 80%) または[難しい] (< 30%) で、
区分値は[悪い] (< 0.1) です。

問題の種類、識別力、および難易度を基準にして、問題の表をフィルタリングします。
特定の問題を調査する場合、問題のタイトルを選択して[問題の詳細]ページを確認します。
この表には、各問題の統計が表示されます。
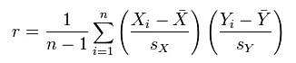
識別指数: 科目についての知識がある学生とない学生とをどれだけうまく区分するかを示します。問題に正解した学生がテストで良い成績を出した場合に、その問題の区分は良好となります。値の範囲は -1.0 から +1.0 です。質問は、識別値が 0.1 未満または否定的である場合、レビューのフラグが立てられます。問題の難易度が100%の場合、またはある問題についてすべての学生が同じ得点だった場合、識別力値は計算されません。
識別力値はPearsonの相関係数を使用して計算されます。Xはある問題での各学生の得点を表し、Yはそのテストでの各学生の得点を表します。

次の変数は、それぞれ標準得点、サンプル平均、サンプル標準偏差です。

難易度:問題に正解した学生の割合。難易度の割合は、そのカテゴリとともにリストされています: 簡単 (80% 以上)、中程度 (30% から 80%)、ハード (30% 未満)。難易度の値は0~100%で、パーセンテージが高いほど問題が簡単であったことを示します。簡単なカテゴリや難しいカテゴリの問題には見直しのフラグが付けられます。
難易度が「簡単」と「難しい」の中間値よりも少し高い場合、テストした教材を理解している学生と理解していない学生が適切に区別されています。難易度が高くても、識別の度合いも高いとは限りません。
採点された答案: 採点が完了した答案の数です。採点済みの答案の数が多いほど、計算済みの統計の信頼性が向上します。
平均スコア: アスタリスクが付けられた得点は、一部の答案が採点されていないため、すべての答案を採点した後に平均点が変更される場合があることを示します。表示される得点は、成績管理でこのテストについて報告された平均点です。
標準偏差: スコアが平均スコアからどれだけ逸脱しているかの尺度。得点が狭い範囲に分布して、多くの得点が平均点に近い場合、標準偏差は小さくなります。データセットが広い範囲に分布し、得点が平均点から離れている場合、標準偏差は大きくなります。
標準誤差:偶然による学生のスコアの変動の量の推定値。測定の標準誤差が小さいほど、テスト問題から得た測定値の精度は向上します。
問題の詳細の表示
見直しが必要だというフラグが付いている問題を調査し、学生のパフォーマンスを表示します。
[項目の分析]ページで、問題の統計表までスクロールします。リンクされた問題タイトルを選択して、[問題の詳細]ページにアクセスします。

前のページと次のページアイコンを使用して、問題のページを順に表示します。最初または最後の問題にジャンプすることもできます。
[テストの編集]を選択し、[テストキャンバス]にアクセスして、テストを変更することができます。
概要の表には、問題の統計が表示されます。前のセクションの各統計の説明を確認することができます。
問題文と解答の選択肢が表示されます。情報は次の問題の種類によって異なります。
表示される情報のタイプ | 問題タイプ |
|---|---|
各選択肢を選択した学生の数 -そして- クラス四分位数間でのこれらの回答の分布 | 多肢選択問題 複数回答問題 正誤問題 二択問題 評価尺度/リッカート |
各選択肢を選択した学生の数 | 組み合わせ問題 並べ替え問題 複数穴埋め問題 |
問題に対して正解、不正解、または省略した学生の数 | 式計算 数値計算 穴埋め問題 ホットスポット 問題文作成問題 |
問題文のみ | 作文問題 ファイル応答 短答式 ごちゃごちゃした文—学生が選択した回答も含まれます |
記号の凡例
解決すべき点がある場合、それを知らせる記号が問題の横に表示されます。

レビュー推奨: 識別値が 0.1 未満の場合にトリガーされます。また、難易度が80%を超える場合 (問題が簡単すぎる) や 30%未満 (問題が難しすぎる) にも表示されます。問題を見直し、修正が必要かどうかを判断します。
展開後に問題が変更された可能性があります: テストの展開後に問題の一部が変更されたことを示します。変更により、その問題のデータが信頼性に欠ける可能性があります。問題が変更された後で提出された答案は、変更による恩恵を受けた可能性があります。
注記
このインジケータは、リストアされたコースには表示されません。
すべての提出物が採点されているわけではありません: 手動採点を必要とする問題 (作文問題など) を含むテストの場合に表示されます。50人の学生の答案がある作文問題を含むテストでは、50件すべての答案を採点するまで、このインジケータが表示されます。分析では、レポートの実行時点で採点が済んでいる答案のみが使用されます。
(QS)および(RB): 問題が問題セットまたはランダムブロックから来たことを示します。ランダムに問題を表示したことにより、一部の問題が他の問題よりも多く解答されています。
複数の答案、問題の上書き、および問題の編集
分析では、複数答案、上書き、およびその他のよくあるケースを次の方法で処理します。
学生がテストを複数回受験した場合、最後に提出した答案が分析の入力として使用されます。たとえば、あるテストを3回受けられる場合、学生Aはすでに2回の答案の解答を終え、3回目の答案の解答が進行中だとします。学生Aの現在の答案は、[進行中の答案]に表示される数値にカウントされます。学生Aの以前の答案は、現在の分析データには含まれません。学生Aが3回目の答案を提出した直後から、その後の分析には、学生Aの3回目の答案が含まれます。
分析では、学生の完了済みの答案に基づいて問題の統計データを生成するため、成績管理の上書きは分析データに影響しません。
手動採点の問題や、問題文、正解の選択肢、部分的な評価、または点数に対する変更は、分析レポートには自動更新されません。変更内容がデータに影響したかどうかを確認するには、分析を再度実行します。
例
項目分析は、今後のテスト管理に向けて問題を改善することに役立ちます。また、現在のテストで、誤った解釈を招く問題やあいまいな問題を修正することもできます。
多肢選択問題には、確認のためのフラグが付きます。正解がAの問題に対して、上位25%以上の学生が選択肢Bを選んだとします。その場合、問題を作成した時に正しい解答を選択していなかったことが分かります。テストの問題を編集すると、自動的に再採点が行われます。
多肢選択問題で、A、B、Cを選択した学生の数が同じだった場合、解答の選択を検証し、問題があいまいすぎたのか、難しすぎたのか、教材の範囲外だったかを判断します。
問題の難易度が「難しい」のカテゴリに分類されたため、問題の見直しが推奨されています。難しい問題であることはわかりましたが、コースの目的を適切にテストする必要があるため、この問題は残しておきます。