ORIGINAL Análisis de elementos
El análisis de elementos proporciona estadísticas sobre el desempeño general, la calidad de las pruebas y las preguntas individuales. Esta información le sirve para reconocer aquellas preguntas que no ayudan a diferenciar el rendimiento de los estudiantes.
Usos del análisis de elementos:
Mejorar las preguntas para las evaluaciones futuras o para ajustar los créditos en los intentos actuales.
Discutir los resultados de las pruebas con su clase.
Proporcionar una base para el trabajo correctivo.
Mejorar la enseñanza en el aula.
Ejemplo:
Tras el análisis de elementos, nota que la mayoría de los alumnos han respondido a una pregunta de forma incorrecta. ¿Por qué se registra esta tasa baja de éxito?
¿La pregunta está expresada de un modo confuso?
¿Son poco claras las opciones de respuesta?
¿Los alumnos han recibido el contenido de aprendizaje correcto para responder correctamente esta pregunta?
¿El contenido que había que aprender era claro y se podía acceder a él con facilidad?
En función de lo que descubra, puede mejorar la pregunta de la prueba para que realmente evalúe el conocimiento de los estudiantes.
Realizar un análisis de elementos en un examen.
Puede ejecutar un análisis de elementos en una prueba implementada con intentos enviados, pero no en una encuesta.
La evaluación puede incluir uno o varios intentos, conjuntos de preguntas, bloques aleatorios, tipos de preguntas autocalificadas y preguntas que requieran calificación manual. Para las evaluaciones con preguntas calificadas manualmente a las que todavía no se han asignado puntuaciones, solo se generan estadísticas para las preguntas puntuadas. Después de calificar manualmente las preguntas, ejecute de nuevo el análisis. Se generarán las estadísticas de las preguntas que se hayan calificado manualmente y se actualizarán las estadísticas del resumen de la prueba.
Para obtener los mejores resultados, ejecute un análisis de una prueba después de que los estudiantes hayan enviado todos los intentos y de que usted haya calificado todas las preguntas de calificación manual. Tenga en cuenta que el número de intentos en las pruebas, el tipo de alumnos que realizan la evaluación y los errores fortuitos pueden influir en las estadísticas.
Los roles que disponen de privilegios de calificación (instructores, calificadores y profesores asistentes) pueden acceder al análisis de elementos desde tres ubicaciones del flujo de trabajo de la prueba.
Una prueba implementada en un área de contenido
Una evaluación implementada que se muestra en la página Evaluaciones
La columna del centro de calificaciones de una evaluación
Abra el menú de la evaluación y seleccione Análisis de elementos.
En el menú Seleccione una evaluación, seleccione una evaluación. Solo se enumeran las pruebas implementadas.
Seleccione Ejecutar.
Seleccione el enlace de informe nuevo en la sección Análisis disponible o seleccione Ver análisis en la confirmación de estado en la parte superior de la página.

Nota
Puede acceder a un análisis ejecutado previamente en la sección Análisis disponible.
Resumen de evaluación en la página Análisis de elementos
En el Resumen de evaluación, se proporcionan datos de la evaluación en su conjunto.

La opción Editar evaluación proporciona acceso a Lienzo de evaluación donde puede realizar cambios en la evaluación.
Ver estadísticas de evaluación:
Puntos posibles: El número total de puntos para el examen.
Posibles preguntas: El número total de preguntas en el examen.
Intentos en curso: el número de estudiantes que actualmente realizan el examen y que aún no lo han enviado.
Intentos completados: El número de exámenes enviados.
Puntuación promedio: las puntuaciones indicadas con un asterisco señalan que algunos intentos no se han calificado y que la puntuación promedio puede cambiar después de calificar todos los intentos. La puntuación que se muestra es la puntuación promedio que se informa para la evaluación en el centro de calificaciones.
Tiempo promedio: El tiempo promedio de finalización de todos los intentos enviados.
Discriminación: en esta área, se muestra el número de preguntas que entran en las categorías Buena (más de 0,3), Aceptable (entre 0,1 y 0,3) e Insatisfactoria (menos de 0,1). Un valor de discriminación se marca como No se puede calcular si la puntuación de dificultad de la pregunta es de 100 % o si todos los alumnos reciben la misma puntuación en una pregunta. Las preguntas cuyos valores de discriminación son Buena y Aceptable diferencian mejor entre alumnos con niveles de conocimiento más elevados y menos elevados. Se recomienda revisar las preguntas de la categoría Insatisfactoria.
Dificultad: en esta área, se muestra el número de preguntas que entran en las categorías Fácil (más del 80 %), Media (entre el 30 % y el 80 %) y Difícil (menos del 30 %). La dificultad es el porcentaje de alumnos que respondió a la pregunta correctamente. Las preguntas de las categorías Fácil o Difícil se indican mediante un círculo rojo y se recomienda su revisión.
Nota
En los cálculos de análisis de elementos solo se utilizan los intentos calificados. Si hay intentos en curso, estos se omitirán hasta que se entreguen y se vuelva a ejecutar el informe de análisis.
Tabla de estadísticas de preguntas en la página Análisis de elementos
La tabla de estadísticas de preguntas proporciona estadísticas de análisis para cada pregunta de la prueba. Las preguntas que se recomienda revisar están indicadas mediante círculos rojos para que pueda identificar rápidamente aquellas que quizás deba revisar.
En general, las preguntas buenas entran en estas categorías:
Dificultad Media (entre el 30 % y el 80 %)
Valores de discriminación Buena o Aceptable (mayor que 0,1)
En general, las preguntas recomendadas para revisión entran en las siguientes tres categorías. Es posible que su calidad sea baja o que se hayan puntuado de manera incorrecta.
Dificultad fácil ( > 80 %) o difícil ( < 30 %)
Valores de discriminación insatisfactoria ( < 0,1)

Filtre la tabla de preguntas por Tipo de pregunta, Discriminación y Dificultad.
Para investigar una pregunta específica, seleccione el título y revise la página Detalles de la pregunta.
En la tabla, se muestran estadísticas de cada pregunta:
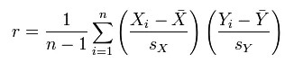
Discriminación: indica qué tan bien las preguntas permiten diferenciar entre los estudiantes que conocen el tema y los que no. Una pregunta es una buena discriminadora cuando los alumnos que responden correctamente a la pregunta obtienen también un buen resultado en la prueba. Los valores pueden oscilar entre -1,0 y +1,0. Una pregunta se marca para revisión si su valor de discriminación es inferior a 0,1 o negativo. Los valores de discriminación no se pueden calcular si la puntuación de dificultad de la pregunta es del 100 % o si todos los estudiantes obtienen la misma puntuación en una pregunta.
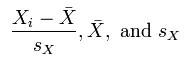
Los valores de discriminación se calculan mediante el coeficiente de correlación de Pearson. X representa la puntuación de cada alumno en una pregunta e Y representa la puntuación de cada alumno en la evaluación.

Estas variables son, respectivamente, la puntuación estándar, la media muestral y la desviación estándar muestral:

Dificultad: El porcentaje de estudiantes que respondió correctamente a la pregunta. El porcentaje de dificultad se enumera junto con su categoría: Fácil (más del 80%), Medio (30% a 80%) y Difícil (menos del 30%). Los valores de dificultad pueden oscilar entre 0 % y 100 %. Un porcentaje elevado indica que la pregunta era sencilla. Las preguntas de las categorías fácil y difícil se marcan para su revisión.
Los niveles de dificultad que son ligeramente superiores a la media entre azar y puntuaciones perfectas diferencian mejor a los alumnos que conocen bien el material examinado de los que no lo hacen. Los valores de dificultad alta no garantizan niveles altos de discriminación.
Intentos de calificación: Número de intentos de preguntas en los que se completa la calificación. Cuanto mayor sea el número de intentos calificados, más fiables serán las estadísticas calculadas.
Puntuación promedio: las puntuaciones indicadas con un asterisco señalan que algunos intentos no se han calificado y que la puntuación promedio puede cambiar después de calificar todos los intentos. La puntuación que aparece es la puntuación promedio que se informa para la evaluación en el centro de calificaciones.
Desviación estándar: Medida de cuánto se desvían las puntuaciones del promedio de puntuaciones. Si las puntuaciones están agrupadas estrechamente, con la mayoría de los valores cerca del promedio, la desviación estándar es pequeña. Si los datos establecidos están muy dispersos, con los valores alejados del promedio, la desviación estándar es mayor.
Error estándar: Una estimación de la cantidad de variabilidad en la puntuación de un estudiante debido al azar. Cuanto menor sea el error estándar de medición, más exacta será la medición proporcionada por la pregunta de la prueba.
Ver detalles de pregunta de una sola pregunta
Puede investigar las preguntas que estén marcadas para revisión y ver el desempeño de los estudiantes.
En la página Análisis de elementos, desplácese hasta la tabla de estadísticas de preguntas. Seleccione el título de una pregunta enlazada para acceder a la página Detalles de pregunta.

Use los iconos Página anterior y Página siguiente para pasar por las preguntas secuencialmente. También puede pasar de la primera pregunta a la última.
Seleccione Editar evaluación para acceder a Lienzo de evaluación donde puede realizar cambios en la evaluación.
En la tabla de resumen, se muestran estadísticas de la pregunta. Puede revisar las descripciones de cada estadística en la sección anterior.
Aparece el texto de la pregunta junto con las opciones de respuesta. La información varía según el tipo de pregunta:
Tipo de información proporcionada | Tipos de pregunta |
|---|---|
Cantidad de estudiantes que eligieron cada respuesta Fuente de texto: -Y- Distribución de esas respuestas entre los cuartiles de clase. | Opción múltiple Varias respuestas correctas Verdadero o falso Dos opciones excluyentes Escala de opinión/Likert |
Cantidad de estudiantes que eligieron cada respuesta | Correspondencia Ordenación Rellenar los espacios en blanco con varias opciones |
Cantidad de estudiantes que respondieron a la pregunta de manera correcta, incorrecta o que la omitieron | Formula calculada Respuesta numérica calculada Rellenar el espacio en blanco Zona activa Copa de pruebas |
Solo el texto de la pregunta | Ensayo Respuesta de archivo Respuesta corta Oración desordenada: también incluye las respuestas que los estudiantes eligieron. |
Leyenda de símbolos
Los símbolos que aparecen junto a las preguntas le avisan de posibles problemas.

Revisión recomendada: Se activa cuando los valores de discriminación son inferiores a 0,1. Además, cuando los valores de dificultad son mayores que el 80 % (la pregunta era demasiado fácil) o menores que 30 % (la pregunta era demasiado difícil). Analice la pregunta para determinar si es necesario revisarla.
La pregunta puede haber cambiado después de la implementación: indica que una parte de la pregunta cambió después de que se implementara el examen. Un cambio podría significar que los datos de esa pregunta no sean fiables. Es posible que los intentos enviados tras modificar la pregunta se hayan beneficiado del cambio.
Nota
Este indicador no aparece para los cursos restaurados.
No se han calificado todas las entregas: Aparece para un examen que contiene preguntas que requieren calificación manual, como preguntas de ensayo. Si una prueba contiene una pregunta de Ensayo con 50 intentos de alumnos, este indicador aparecerá hasta que califique los 50 intentos. El análisis utilizará solo los intentos que haya calificado en el momento en que ejecute el informe.
(QS) y (RB): Indica que una pregunta proviene de un conjunto de preguntas o un bloque aleatorio. Debido a la entrega de preguntas aleatoria, es posible que algunas preguntas obtengan más intentos que otras.
Varios intentos, omisión de preguntas y edición de preguntas
El análisis gestiona varios intentos, omisiones y otros escenarios comunes de las siguientes maneras:
Si los alumnos realizan una evaluación varias veces, el último intento enviado se usa como entrada para el análisis. Por ejemplo, para una evaluación con tres intentos, el alumno A ha finalizado dos intentos y está realizando un tercer intento. El intento actual del alumno A cuenta para el número que aparece para Intentos en proceso. Ninguno de los intentos anteriores del alumno A se incluirá en los datos del análisis actual. Cuando el alumno A envíe el tercer intento, los posteriores análisis incluirán ese tercer intento del alumno A.
Las omisiones del centro de calificaciones no afectarán los datos del análisis, ya que el análisis genera datos estadísticos para preguntas basados en los intentos completados de los alumnos.
Las preguntas calificadas manualmente o los cambios realizados en el texto de una pregunta, la opción de la respuesta correcta, el crédito parcial o los puntos no se actualizan automáticamente en el informe de análisis. Vuelva a ejecutar el análisis para ver si los cambios afectan los datos.
Ejemplos
El análisis de elementos puede servirle para mejorar las preguntas en futuras evaluaciones. También puede corregir preguntas equívocas o ambiguas de una evaluación en curso.
Una pregunta de varias opciones se marcada para su revisión. Más del 25 % superior de los estudiantes eligió la respuesta B, pero la respuesta correcta es la A. Se da cuenta de que no eligió la respuesta correcta al crear la pregunta. A continuación, edita la pregunta de la prueba y se vuelve a calificar de manera automática.
En una pregunta de opción múltiple, la misma cantidad de estudiantes eligió las respuestas A, B y C. Examine las opciones de respuesta para determinar si son ambiguas, si la pregunta es demasiado difícil o si no se trató el material previamente en clase.
Se recomienda revisar una pregunta porque entra dentro de la categoría de dificultad "difícil". Concluye que es una pregunta difícil, pero la conserva para probar de forma adecuada los objetivos del curso.