Editor de matemáticas
Puede insertar ecuaciones y fórmulas matemáticas en exámenes, actividades, debates y diarios utilizando el editor matemático. También puede escribir fórmulas LaTeX en cualquier editor de texto enriquecido que tenga la opción del editor de matemáticas. El editor de matemáticas funciona con cualquier navegador y sistema operativo, incluidos teléfonos inteligentes y tabletas. Cuando se activa, MathJax procesa el código LaTeX ingresado en el editor de contenido en las áreas compatibles de Blackboard. Si MathJax no está activado, Wiris renderizará las fórmulas.
Las fórmulas matemáticas se muestran en formato de imagen PNG, que tiene tamaños de archivo más grandes que el texto. Pueden pasar unos segundos hasta que se muestre la imagen.
Las velocidades de conexión a Internet y el tamaño del contenido también afectan el tiempo de carga. Algunos estudiantes pueden tener dificultades para acceder a contenidos con muchas imágenes de fórmulas.
Algunas recomendaciones para reducir el tamaño de imagen de las fórmulas y el tiempo de carga son las siguientes:
Cree cada fórmula por separado con el editor de matemáticas o LaTeX.
Evite incluir descripciones de preguntas o texto adicional en el editor de matemáticas o el código LaTeX. En lugar de eso, utilice el editor de texto enriquecido para escribir preguntas, instrucciones o descripciones textuales y solo use el editor de matemáticas o LaTeX para crear las fórmulas matemáticas.
Por ejemplo, imagine que un profesor escribe un problema matemático de aceleración en un examen. Para reducir el tamaño del archivo de contenido, los profesores escriben la descripción del problema y los valores de las variables directamente en el editor de texto enriquecido como texto sin formato. A continuación, el profesor escribe la fórmula de aceleración utilizando el editor matemático.

Uso del editor de matemáticas
Acceda al editor de matemáticas con el ícono + en el editor de texto enriquecido. Seleccione Matemáticas en el menú.

Puede acceder a muchas funciones del editor de matemáticas desde las diferentes pestañas en la parte superior.

Use el teclado para escribir números, letras y símbolos. Seleccione el ícono adecuado en el editor de matemáticas para crear fórmulas complejas, como la creación de una raíz cuadrada.
Sugerencia
SUGERENCIA: Si está utilizando una opción que cambia el nivel del texto de su fórmula, como un subíndice o una fracción, utilice las teclas de flecha del teclado para volver al nivel predeterminado. Recomendamos el uso del teclado para navegar dentro de una fórmula.

Algunas de las opciones para crear fórmulas en el editor de matemáticas son las siguientes:
Operaciones básicas: suma, resta, multiplicación, división, raíces cuadradas, exponentes, fracciones
Alfabeto griego: alfa, beta, gamma y otros
Cálculo de matrices
Integrales, derivadas y límites
Funciones trigonométricas: seno (sin), coseno (cos), tangente (tan)
Estilos y tamaños de fuente
El sitio web de WIRIS ofrece información detallada sobre todas las funciones del editor de matemáticas.
Uso de LaTeX en el editor de texto enriquecido
LaTeX es un software que se utiliza para crear imágenes de fórmulas según convenciones de codificación escritas con texto sin formato. El editor de texto enriquecido de Learn puede mostrar código LaTeX.
Nota
Las fórmulas que se dividen en varias líneas en LaTeX no se pueden mostrar en el editor de texto enriquecido de Learn. Las fórmulas de varias líneas comienzan con /begin y terminan con /end.
Para ingresar una fórmula LaTeX, escriba el código específico dentro de los símbolos $$ en el editor de texto enriquecido.
Seleccione Guardar para obtener una vista preliminar de la fórmula como imagen. Puede volver al editor de texto enriquecido para editarla hasta que se vea correctamente. Algunas tareas, como los exámenes y las actividades, no permiten que los estudiantes obtengan una vista preliminar de la fórmula LaTeX que se muestra ni que la guarden en el editor de texto enriquecido. Los estudiantes deberán revisar su entrega para asegurarse de que la fórmula se muestre como corresponde.
No se pueden realizar cambios a la apariencia de las fórmulas, como añadir negrita o cambiar el tamaño de fuente, con el editor de texto enriquecido. Para cambiar los estilos o el tamaño de la fórmula, puede seleccionar cualquier parte de ella en el editor de texto enriquecido y luego elegir el editor de matemáticas. Todos los cambios realizados en el editor matemático se aplican al guardar y se añaden al código LaTeX.
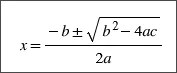
Se puede dar formato a la fórmula cuadrática en LaTeX.

1. Escriba $$ en el editor de texto enriquecido.
$$
2. A continuación, ingrese el código LaTeX para la fórmula:
$$x = \frac {-b \pm \sqrt {b^2 - 4ac}}{2a}
3. Para cerrar la fórmula, escriba $$ al final.
$$x = \frac {-b \pm \sqrt {b^2 - 4ac}}{2a}$$

4. Seleccione Guardar en el editor de texto enriquecido. La fórmula matemática se muestra como una imagen PNG. La visualización de la imagen puede tardar unos segundos, dependiendo de su conexión a Internet y del tamaño del contenido.

5. Seleccione Editar en el editor de texto enriquecido para volver al código LaTeX.

6. Edite la fórmula para sobrescribir su código LaTeX como texto sin formato dentro del editor de texto enriquecido. Por ejemplo, añada +1 al final de la fórmula cuadrática.
$$x = \frac {-b \pm \sqrt {b^2 - 4ac}}{2a}+1$$

7. Seleccione Guardar para mostrar la fórmula como una imagen nueva.

8. Puede realizar más ajustes en el estilo de la fórmula. En el editor de texto enriquecido, seleccione cualquier elemento dentro del código LaTeX.

Abra el editor de matemáticas.

Aplique los estilos que desee a la fórmula. Por ejemplo, puede agregar negrita y cambiar el tamaño de fuente.

9. Seleccione Guardar en el editor de matemáticas. Ahora, el código LaTeX para la fórmula cuadrática con los ajustes de estilo que realizó es el siguiente:
$$\style{font-size:36px}{x=\frac{-b\pm\sqrt{\boldsymbol b^{\mathbf2}\boldsymbol-\mathbf4ac}}{2a}+1}$$

10. Selecciona Guardar en el editor de texto enriquecido para representar la fórmula ajustada como una imagen.

Funciones de accesibilidad
Las imágenes de fórmulas matemáticas son de alta calidad, por lo que los usuarios pueden acercar la imagen y seguirá siendo clara. También es posible cambiar el tamaño de la fuente para ayudar a los estudiantes. Si usa tamaños de fuente más grandes, los estudiantes pueden ver los detalles de una fórmula que tiene números y símbolos pequeños.
Puede acceder a las fórmulas desde el editor de contenido tanto al momento de crearlas como cuando se muestran como imágenes.

El texto alternativo de las fórmulas matemáticas se genera automáticamente según la configuración de idioma en su perfil de Learn. Los lectores de pantalla siguen los ajustes de su dispositivo local, incluidos el idioma, la velocidad y la voz. Para tener una mejor experiencia con el lector de pantalla y el texto alternativo, asegúrese de que la configuración de idioma en Learn coincida con la de su dispositivo local.

Nota
Si un idioma no es compatible con el editor de matemáticas o el texto enriquecido, las fórmulas se leen en inglés.