Soru Analizi
Soru analizi; genel performansa, değerlendirme kalitesine ve tek tek sorulara ilişkin istatistikler sağlar. Bu veriler, öğrenci performansını ayırt etme konusunda zayıf kalan soruları tanımlamanıza yardımcı olur. Soru analizi, sorularla yapılan değerlendirmeler içindir. Sorularınızın kalitesini gözden geçirmek ve değişiklik yapmak isterseniz tüm gönderimler gelmeden bir rapor çalıştırabilirsiniz.
Soru analizi şu amaçlarla kullanılır:
Gelecekteki değerlendirmeler için soruları iyileştirin veya mevcut denemelerle ilgili krediyi ayarlayın.
Değerlendirme sonuçlarını sınıfınızla tartışın
Kurtarma çalışması için temel oluşturun
Sınıf yönergesini iyileştirin
Örnek:
Soru analizinden sonra, çoğu öğrencinin aynı soruyu yanlış yanıtladığını fark etmiş olabilirsiniz. Bu düşük başarı oranının sebebi nedir?
Sorunun soruluş şekli kafa karıştırıcı mı?
Yanıt seçenekleri açık değil mi?
Öğrenciler bu soruyu doğru yanıtlamak için gereken içeriğe ulaşmış mıydı?
Eğitim içeriği kolayca erişilebilir ve anlaşılabilir miydi?
Analiz sonuçları doğrultusunda, öğrencilerin bildiği veya bilmediği şeyleri doğru şekilde değerlendirmek amacıyla soruyu iyileştirebilirsiniz.
Değerlendirmenin analizine erişme
Şu kurs alanlarından eski bir soru analiz raporunu çalıştırarak rapora erişebilirsiniz:
Kurs İçeriği sayfası > değerlendirmenin menüsü
Kurs Analitiği sayfası > Soru Analizi sekmesi (kuruluşunuz analizleri etkinleştirmişse)
Not defteri
Kurs İçeriği sayfasından bir değerlendirmenin menüsüne gidin ve Soru Analizi'ni seçin. Gezinti çubuğundan Analiz simgesini de seçebilirsiniz.

Soru analizi raporunu not defterinden de çalıştırabilirsiniz. Bir değerlendirmenin menüsüne erişin ve Soru Analizi'ni seçin.

Soru Analizi sayfası
Soru Analizi sayfasına yalnızca gezinti çubuğu > Analiz > Kurs Analizi sayfası > Soru Analizi sekmesinden erişilir.

Gönderim içeren ancak soru içermeyen değerlendirmelerle ilgili bir rapor çalıştırabilirsiniz ancak aldığınız raporda kullanılabilir bilgiler bulunmayacaktır.
Soru analizi raporunun hazırlanmakta olduğunu belirten bir ileti alırsınız, rapor tamamlandığında da adresinize bir e-posta gönderilir. Kursunuzun başka alanlarında çalışmak için sayfadan ayrılabilir ve daha sonra raporun hazır olup olmadığını görmek için tekrar geri dönebilirsiniz.

Kursunuzdaki her değerlendirme şu durumlardan biriyle görünür:
Rapor işlemleri sürdürülüyor
{date} tarihinde tamamlandı
Veriler artık güncel değil: Değerlendirmede artık analiz edilecek daha fazla gönderim var.
Yeterli veri yok: Gönderim yok. Raporu Çalıştır işlevi devre dışı.
Değerlendirmede soru yok: Değerlendirmede soru veya gönderim yok. Raporu Çalıştır işlevi devre dışı.
Durum listelenmedi: Değerlendirmede sorular ve gönderimler var ancak rapor çalıştırmadınız. Raporu Çalıştır işlevi etkin.
Hata: Çalıştır
Soru analizi değerlendirme özetini görüntüleme
Bir raporu çalıştırdıktan sonra, genel özet bilgilerini ve her soruyla ilgili ayrıntıları görüntüleyebilirsiniz. Özetini görmek için Soru Analizi sayfasında değerlendirmeyi seçin.
Not
Hesaplamalarda yalnızca gönderilen denemeler kullanılır. Devam eden denemeler varken, bunlar gönderilinceye kadar ve öge analizi raporunu siz yeniden çalıştırıncaya kadar bu denemeler yok sayılır. Geç gönderilen çalışmalara otomatik olarak atanan sıfır rakamları hesaplamalara dâhil edilmez.

Tek tek değerlendirmeler için istatistik özetleri:
Ortalama puan: Gösterilen puan, not defterinde değerlendirme için bildirilen ortalama puandır. Denemeler gönderildikçe ve bunlara not verildikçe ortalama puan değişebilir.
Olası sorular: Değerlendirmedeki toplam soru sayısı.
Tamamlanan denemeler: Gönderilen değerlendirmelerin sayısı.
Harcanan ortalama süre: Gönderilen tüm denemelerin ortalama tamamlanma süresi.
Bir raporu tekrar çalıştırın veya sorularda değişiklik yapmak için değerlendirmeyi düzenleyin.
Grafikleri kullanarak soru tablosuna filtre uygulayın. Her iki grafikte seçimlerinizi yaparak aramanızın kapsamını daraltın. Herhangi bir seçim yapmazsanız tüm sorular tabloda sayfanın altında görünür.
Ayrımcılık: Soruların, konuyu bilen ve bilmeyen Öğrenciler arasında ne kadar iyi ayrım yaptığını gösterir.
Şu kategorilere giren soruların sayısını gösterir:
İyi (0,3'ten fazla)
Orta (0,1 ile 0,3 arası)
Zayıf (0,1'den az) kategorileri
Hesaplanamıyor: Bir sorunun zorluğu %100'dür veya tüm Öğrenciler bir sorudan aynı puanı almıştır.
İyi ve Orta kategorilerinde ayrım değerlerine sahip sorular, daha yüksek ve daha düşük bilgi düzeyine sahip öğrencileri ayırt etmede fark gösterir.
Gözden geçirme için Zayıf kategorisindeki sorular önerilir.
Zorluk: Soruları doğru cevaplayan öğrencilerin yüzdesi
Şu kategorilere giren soruların sayısını gösterir:
Kolay (%80'den fazla)
Orta (%30 ila %80 arası)
Zor (%30'dan az)
Kolay veya Zor kategorilerindeki sorular gözden geçirme için önerilirler.
Soruları sıralamak için bir başlık seçin. Örneğin, gözden geçirilmesi gereken soruların önce görünmesi için İncele sütununu sıralayın.
Filtreleri Temizle: Grafiklerde seçtiğiniz filtreleri temizleyin ve tüm soruları tabloda görüntüleyin.
Soru analizi raporunu indirin.
Değerlendirme özetindeki sorular bölümü hakkında
Soru tablosu, değerlendirmedeki her soru için analiz istatistikleri sağlar. Soru tablosunu filtrelemek için grafikleri kullandıktan sonra sonuçları görüntüleyip sıralayabilirsiniz.
Genellikle, iyi sorular aşağıdaki kategorilerde olur:
Orta (%30 ile %80 arasında) zorluk
İyi veya Orta (0,1'den fazla) ayrım değerleri
Genellikle, gözden geçirme için önerilen sorular aşağıdaki kategorilerde bulunur. Düşük kalite veya yanlış puanlama olabilir.
Kolay ( > %80) veya Zor ( > %30) zorluk
Zayıf ( < 0,1) ayrım değerleri
Hatırlatma: Seçim yapmazsanız tüm sorular sayfanın alt kısmındaki tabloda görünür.

Belirli bir soruyu araştırmak için başlığı seçin ve soru ayrıntılarını gözden geçirin.
Tabloda her soruya ait bilgiler görünür:
Gözden geçirilmesi gerekiyor: Ayrım değerleri 0,1'den küçük olduğunda tetiklenir. Aynı zamanda zorluk değerleri %80'den fazla (soru çok kolaydı) veya %30'dan az (soru çok zordu) iken. Revizyon gerektirip gerektirmediğini belirlemek için soruyu gözden geçirin.
Soru Değiştirildi: Bir rapor çalıştırırsanız Evet görüntüler, ardından sorunun bir bölümünü değiştirin ve raporu yeniden çalıştırın. Değerlendirmeyi oluştururken soruyu başka bir değerlendirmeden kopyaladığınızda da Evet görünür.
Not
Bir sorunun Soru Değiştirildi sütununda Evet görünüyorsa kursu arşivleyip geri yüklediğinizde Evet görünmez.
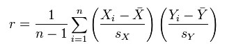
Ayrımcılık: Bir sorunun konuyu bilen ve bilmeyen Öğrenciler arasında ne kadar iyi ayrım yaptığını gösterir. Bir soruyu doğru yanıtlayan öğrenciler değerlendirmede de başarılı oluyorsa o soru işe yarıyor demektir. Değerler -1,0 ile +1,0 arasında değişebilir. Bir soru, ayrım değeri 0,1'den küçük veya negatifse incelenmek üzere işaretlenir. Sorunun zorluk puanı %100 iken veya bir soruda tüm öğrenciler aynı puanı aldığında ayırım değerleri hesaplanamaz.
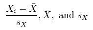
Ayrım değerleri, Pearson korelasyon katsayısıyla hesaplanır. X, bir soruda her bir öğrencinin puanlarını gösterir ve Y, değerlendirmede her bir öğrencinin puanlarını gösterir.

Aşağıdaki değişkenler standart puan, örnek ortalama ve örnek standart sapmadır, sırasıyla:

Zorluk: Soruyu doğru cevaplayan öğrencilerin yüzdesi. Zorluk yüzdesi kategorisiyle birlikte listelenir: Kolay (%80'den fazla), Orta (%30 ila %80) ve Zor (%30'dan az). Zorluk değerleri %0 ile %100 arsında olabilir. Yüksek bir yüzde değeri sorunun kolay olduğunu belirtir. Kolay veya zor kategorilerindeki sorular gözden geçirme için işaretlenir.
Şans ve mükemmel puanlar arasında orta noktadan hafif yüksek olan zorluk düzeyleri, test edilen materyali bilen öğrencileri bilmeyenden ayırmada daha iyi bir iş yapar. Yüksek zorluk değerleri yüksek ayrım düzeylerini garanti etmez.
Not Verilen Denemeler: Not vermenin tamamlandığı soru denemelerinin sayısı. Yüksek puanlanan deneme sayısı daha güvenilir hesaplanan istatistikler üretir.
Ortalama Puan: Görünen puan, not defterinde değerlendirme için bildirilen ortalama puandır. Tüm denemelere not verildiğinde ortalama puan değişebilir.
Tek bir soruyla ilgili ayrıntıları görüntüleme
Gözden geçirmeniz ve öğrenci performansını görüntülemeniz için işaretlenmiş soruları araştırabilirsiniz. Soru Analizi'ndeki sorular tablosundan, sorunun özetine erişmek için bağlantılı soru başlığını seçin.

Soruya eriştikten sonra değerlendirmedeki sorulardan herhangi birine erişmek için soru başlığının menüsünü kullanın. Sayfanın iki tarafından da diğer sorulara gidebilirsiniz.
Özet tablosu soruya ait istatistikler gösterir.
Değerlendirmeyi Düzenle'yi seçerek değerlendirmeye erişebilir ve istediğiniz değişiklikleri yapabilirsiniz.
Soru metni ve yanıt seçenekleri görünür. Her yanıt seçeneğini kaç öğrencinin seçtiğini veya doğru yapılanların yüzdesini görebilirsiniz. Örneğin, bir Eşleştirme sorusunda, ögeleri doğru eşleştiren öğrencilerin yüzdesini görebilirsiniz. Kompozisyon sorularında yalnızca soru metni görünür.
Birden fazla deneme hakkı, soruyu geçersiz kılma işlemleri ve soru düzenlemeleri hakkında
Analiz, bazı yaygın senaryoları şu şekilde ele alır:
Öğrenciler denemeye birden fazla kez girdiğinde analiz için girdi olarak son gönderilen deneme kullanılır. Bir öğrenci başka bir deneme gönderir göndermez, sonraki analizlerde en son deneme kullanılır.
Not defteri geçersiz kılmaları analiz verilerini etkilemez çünkü analiz, tamamlanan öğrenci denemelerini esas alarak sorularla ilgili istatistiksel veriler oluşturur.
Bir soruda değişiklik yaptığınızda veya sorulara manuel olarak not verdiğinizde değişikliklerin verileri etkileyip etkilemediğini görmek için analizi tekrar çalıştırmanız gerekir.
Örnekler
Soru analizi size sonraki değerlendirme yöneticileri için soruları geliştirmenize yardımcı olabilir. Aynı zamanda şimdiki bir değerlendirmede yanlış yönlendiren veya belirsiz soruları da düzeltebilirsiniz.
Çoktan Seçmeli bir soruda, eşit sayıda öğrenci A, B ve C'yi seçer. Çok belirsiz olup olmadıklarını, sorunun çok zor olup olmadığını veya materyalin kapsanıp kapsanmadığını belirlemek için yanıt seçeneklerini inceleyin.
Zor zorluk kategorisine girdiğinden, bir sorunun gözden geçirilmesi önerilir. Sorunun zor bir soru olduğunu belirlersiniz ancak kurs amaçlarınızı yeterince değerlendirmek için gerekli olduğundan testte tutarsınız.
Çoktan Seçmeli bir soru, gözden geçirmeniz için bayraklanır. A doğru yanıt olmasına rağmen En İyi %25 öğrenciden daha fazlası B yanıtı seçer. Soruyu oluşturduğunuzda doğru cevabı seçmediğinizi fark edersiniz. Değerlendirme sorusunu düzenlersiniz ve bunun üzerine değerlendirmeye otomatik olarak yeniden not verilir.
Değerlendirme sonuçlarını indirme
Haricî analiz ve değerlendirme için test sonuçlarını indirmeniz gerekebilir. Haricî analiz, kurs kalitesini ve değerlendirme çalışmalarını desteklemek için önemlidir. Ayrıca, kurumlar da genellikle akreditasyon ve program inceleme faaliyetleri için değerlendirme verilerinin derlenip bir araya getirilmesini ister.
Değerlendirme sonuçlarını not defterinden indirebilirsiniz:
Notlar görünümünde, seçenekler menüsünü görüntülemek için değerlendirmeyi seçin ve Sonuçları indir'i seçin.

Not Verilebilir Ögeler görünümünden, değerlendirmenin seçenekler menüsünü, ardından da Sonuçları İndir'i seçin.

Sonuçları indirmek için birkaç seçenek göreceksiniz.
Dosya tipi: Excel elektronik tablosu (.xls) veya Virgülle Ayrılmış Değer (.csv). Varsayılan seçenek .xls'tir
Sonuçların formatı: Öğrenciye veya soruya ve öğrenciye göre. Varsayılan, öğrenciye göre seçeneğidir.
İndirme denemeleri: Not hesaplamasına dahil edilen tüm denemeler veya yalnızca denemeler. Not hesaplamasına hangi denemelerin dahil edileceğini Denemelere not ver ayarlarında tanımlayabilirsiniz. Varsayılan değer, yalnızca hesaplamalarda kullanılan denemelerin indirilmesidir.

İndirilen rapor, şu bilgileri içerir:
Öğrencinin adı
Kullanıcı Adı
Sorular
Yanıtlar
Not verme durumu
Öğrencilerin, gönderimlerine eklemiş olabilecekleri tüm içerikler
Öğrenciye göre indir türündeki sonuç biçimine ilişkin örnek:

Öğrenciye ve soruya göre indir türündeki sonuç biçimine ilişkin örnek:

Önemli
Anonim not verme yöntemini kullanırsanız tüm öğrencilerin notları gönderilene kadar indirilen sonuçlarda öğrenci ve puan bilgileri yer almaz.
Değerlendirme sonuçlarının nasıl indirileceğine ilişkin videoyu izleyin
Aşağıdaki betimlemeli video, bu sayfada yer alan bazı bilgilerin görsel ve işitsel bir temsilidir. Videoda tasvir edilenlerin ayrıntılı açıklamasını görmek için videoyu YouTube'da açın, Daha Fazla İşlemlere gidin ve Metin Dökümünü Açı seçin.