Skip to main content

Matematik Düzenleyicisi

Matematik düzenleyicisini kullanarak testlere, ödevlere, tartışmalara ve günlüklere matematik denklemleri ve formülleri ekleyebilirsiniz. Matematik düzenleyicisinin bir seçenek olarak sunulduğu herhangi bir zengin metin düzenleyicisine LaTeX formüllerini de yazabilirsiniz. Matematik düzenleyicisi, akıllı telefonlar ve tabletler de dâhil olmak üzere her tarayıcıda ve işletim sisteminde çalışır. Etkinleştirildiğinde, MathJax, İçerik Düzenleyicisi'ne girilen LaTeX kodunu Blackboard'un desteklenen alanlarında işler. MathJax etkinleştirilmezse, Wiris formülleri işleyecektir.

Matematik formülleri, metne göre daha büyük dosya boyutlarına sahip olan PNG görüntü biçiminde oluşturulur. Matematik formüllerinin görüntülenmesi birkaç saniye sürebilir.

İnternet bağlantı hızları ve içerik boyutu yüklenme süresini etkiler. Bazı öğrenciler, çok sayıda formül görüntüsü içeren içeriklere erişmekte zorluk çekebilir.

Formül görüntüsü boyutunu ve yüklenme süresini azaltacak bazı öneriler şunlardır:

  • Her formülü matematik düzenleyicisi veya LaTeX ile ayrı ayrı oluşturun.

  • Matematik düzenleyicisinin veya LaTeX kodunun içine soru açıklamaları veya ilave metinler eklemekten kaçının. Bunun yerine; soruları, yönergeleri veya metne dayalı açıklamaları yazmak için zengin metin düzenleyicisini kullanıp matematik düzenleyicisini veya LaTeX'i yalnızca matematik formüllerini oluşturmak için kullanın.

    • Örneğin, eğitmenin testte hızlanma ile ilgili bir matematik problemi yazdığını düşünelim. İçerik dosyasının boyutunu küçültmek için eğitmen, sorunun açıklamasını ve değişken değerlerini doğrudan zengin metin düzenleyicisine düz metin şeklinde yazar. Eğitmen, bunun ardından matematik düzenleyicisini kullanarak hızlanma formülünü yazar.

Zengin metin düzenleyicisine yazılan ve altında matematik düzenleyicisi tarafından oluşturulan ve dikdörtgenle puanlanmış bir denklem bulunan bir matematik sorusunun görüntüsü

Matematik düzenleyicisini kullanma

Zengin metin düzenleyicisinde + simgesini seçerek matematik düzenleyicisine erişin. Menüden Matematik seçeneğini seçin.

Zengin metin düzenleyicisinin + menüsü açık ve açılır menüde Matematik ile görüntüsü

Matematik düzenleyicisindeki birçok özelliğe üst kısımdaki farklı sekmeleri seçerek erişebilirsiniz.

Kısmen tamamlanmış bir kesir içeren bir denklemi gösteren matematik düzenleyicisinin görüntüsü, boşlukları gösteren iki yeşil kutu

Sayı, harf ve sembol girmek için klavyenizi kullanın. Karekök oluşturma gibi karmaşık formülleri oluşturmak için matematik düzenleyicisinde uygun simgeyi seçin.

İpucu

İPUCU: Alt simge veya kesir gibi formülünüzün metin seviyesini değiştiren bir seçenek kullanıyorsanız varsayılan seviyeye dönmek için klavyenizdeki ok tuşlarını kullanın. Formülün içinde gezinmek için klavyeyi kullanmanızı öneririz.

Matematik Düzenleyicide tamamlanmış bir matematik denkleminin sembolleri, kesirleri ve alt simgeleri gösteren görüntüsü

Matematik düzenleyicisinde formül oluşturma seçeneklerinden bazıları şunlardır:

  • Temel işlemler: toplama, çıkarma, çarpma, bölme, karekökler, üsler, kesirler

  • Yunan alfabesi: alfa, beta, gama ve diğerleri

  • Matris hesabı

  • İntegraller, türevler ve limitler

  • Trigonometrik fonksiyonlar: sinüs (sin), kosinüs (cos), tanjant (tan)

  • Yazı tipi stilleri ve boyutları

WIRIS web sitesi, matematik düzenleyicisinin tüm işlevleri hakkında ayrıntılı bilgiler verir.

Zengin metin düzenleyicisinde LaTeX'i kullanma

LaTeX, düz metinle yazılmış bir formülün görüntüsünü kodlama kurallarına dayanarak oluşturmak için kullanılabilecek bir yazılımdır. Learn'ün zengin metin düzenleyicisi LaTeX kodlamasını işleyebilir.

Not

LaTeX'te birden fazla satıra bölünen formüller, Learn'ün zengin metin düzenleyicisi tarafından işlenemez. Çok satırlı formüller /begin ifadesi ile başlar ve /end ifadesi ile biter.

Zengin metin düzenleyicisinde, ilgili kodu $$ sembollerinin içine yazarak bir LaTeX formülü girin.

Formülün nasıl görüntüleneceğini görmek için Kaydet seçeneğini seçin. Doğru görüntülenene kadar formülü düzenlemek için zengin metin düzenleyicisine geri dönebilirsiniz. Testler ve ödevler gibi bazı etkinlikler, öğrencilerin oluşturulan LaTeX formülünü zengin metin düzenleyicisinde kaydetmesine ve ön izlemesine izin vermez. Öğrenciler, formüllerinin doğru oluşturulduğuna emin olmak için sonrasında gönderimlerini kontrol etmek zorundadır.

Yazı tipini kalınlaştırma veya yazı tipi boyutunu değiştirme gibi formüllerin görünümünü etkileyen değişiklikler, zengin metin düzenleyicisi kullanılarak yapılamaz. Formülün yazı tipi stillerini veya boyutlarını değiştirmek için, önce zengin metin düzenleyicisinde formülün herhangi bir noktasını seçip sonra da matematik düzenleyicisini seçebilirsiniz. Matematik düzenleyicisinde yapılan tüm değişiklikler, kaydettiğiniz zaman uygulanır ve LaTeX koduna eklenir.

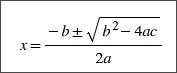
LaTeX'te biçimlendirilmiş bir formül örneği

İkinci dereceden denklem formülü, LaTeX'te biçimlendirilebilir.

İkinci dereceden formülün işlenmiş görüntüsü

1. Zengin metin düzenleyicisine $$ yazın.

$$

2. Ardından, formülün LaTeX kodunu girin:

$$x = \frac {-b \pm \sqrt {b^2 - 4ac}}{2a}

3. Sonuna $$ yazarak formülünüzü kapatın.

$$x = \frac {-b \pm \sqrt {b^2 - 4ac}}{2a}$$

Zengin metin Düzenleyicide LaTeX'te yazılmış ikinci dereceden formülün görüntüsü: $$x = \frac {-b \pm \sqrt {b^2 - 4ac}}{2a}$$

4. Zengin metin düzenleyicisinde Kaydet seçeneğini seçin. Matematik formülü, PNG görüntüsü olarak oluşturulur. Görüntünün oluşturulması, internet bağlantınıza ve içerik boyutunuza bağlı olarak birkaç saniye sürebilir.

Bir sorunun üzerindeki ikinci dereceden formülün işlenmiş versiyonunun görüntüsü

5. LaTeX kodunuza geri dönmek için zengin metin düzenleyicisinde Düzenle'yi seçin.

Açılır menüde Düzenle düğmesini gösteren bir sorunun üç nokta menüsünün görüntüsü

6. LaTeX kodunuzun üzerine yazılması için zengin metin düzenleyicisinin içinde düz metin olarak formülünüzü düzenleyin. Örneğin, ikinci dereceden denklem formülünün sonuna +1 ifadesini ekleyin.

$$x = \frac {-b \pm \sqrt {b^2 - 4ac}}{2a}+1$$

İkinci dereceden formülün resmi artı zengin metin Düzenleyicide LaTeX'te yazılmış bir formül: $$x = \frac {-b \pm \sqrt {b^2 - 4ac}}{2a}+1$$

7. Formülü yeni bir görüntü olarak oluşturmak için Kaydet seçeneğini seçin.

İkinci dereceden formülün işlenmiş versiyonunun görüntüsü artı bir sorunun üstündeki bir resim

8. Formülün stilinde daha fazla ayarlama yapabilirsiniz. Zengin metin düzenleyicisinde, LaTeX kodunun içindeki herhangi bir şeyi seçin.

İkinci dereceden formül artı zengin metin Düzenleyicisi içindeki bir formül için LaTeX denkleminin görüntüsü, metin imleci vurgulanmış olarak

Matematik düzenleyicisini açın.

LaTeX'te ikinci dereceden formül artı birin + menüsü ve matematik Düzenleyici seçeneği vurgulanmış görüntüsü

Formüle istediğiniz stilleri uygulayın. Örneğin, formülün bir bölümünü kalınlaştırabilir ve yazı tipi boyutunu değiştirebilirsiniz.

İkinci dereceden formülün görüntüsü artı matematik Düzenleyicide, büyük yazı tipi boyutu ve karekök kalın

9. Matematik düzenleyicisinde Kaydet seçeneğini seçin. İkinci dereceden denklem formülünün stil ayarlamalarınızı da içeren LaTeX kodu şu şekildedir:

$$\style{font-size:36px}{x=\frac{-b\pm\sqrt{\boldsymbol b^{\mathbf2}\boldsymbol-\mathbf4ac}}{2a}+1}$$

İkinci dereceden formülün görüntüsü artı zengin metin düzenleyicide LaTeX'te yazılmış, stiller uygulanmış bir formül: $$\style{font-size:36px}{x=\frac{-b\pm\sqrt{\boldsymbol b^{\mathbf2}\boldsymbol-\mathbf4ac}}{2a}+1}$$

Ayarlanan formülünüzü görüntü olarak oluşturmak için zengin metin düzenleyicisinde Kaydet seçeneğini seçin.

Oluşturulan ikinci dereceden formülün görüntüsü artı 36 piksellik yazı tipinde bir

Erişilebilirlik özellikleri

Matematik formülü görüntüleri yüksek kalitededir. Bu sayede, kullanıcılar görüntüyü yakınlaştırsalar da netlik bozulmaz. Öğrencilerinize yardımcı olmak için yazı tipi boyutunu da değiştirebilirsiniz. Daha büyük yazı tipi boyutları, öğrencilerinizin küçük sayılar ve simgeler içeren bir formülün ayrıntılarını görmesine yardımcı olabilir.

Siz onları oluşturduğunuz sırada ve görüntü şeklinde oluşturulmalarının ardından, ekran okuyucular tarafından formüllere erişilebilir.

İşlenmiş bir formülü metne çeviren bir ekran okuyucunun görüntüsü

Matematik formülleri için alternatif metin, Learn profilinizdeki dil ayarınıza göre otomatik olarak oluşturulur. Ekran okuyucular dil, hız ve ses dâhil olmak üzere yerel cihaz ayarlarınızı izler. Ekran okuyucunuz ve alternatif metninizle daha iyi bir deneyim yaşamak için Learn'deki dil ayarınızın yerel cihazınızdaki ayarlarla eşleştiğine emin olun.

Dil menüsü mavi renkle vurgulanmış ultra kullanıcı profili görüntüsü

Not

Bir dil matematik düzenleyicisi veya zengin metin tarafından desteklenmiyorsa formüller İngilizce olarak okunur.