ORIGINAL Dadansoddi Eitem
Mae dadansoddiad eitemau yn darparu ystadegau am berfformiad cyffredinol, ansawdd profion a chwestiynau unigol. Mae'r data hyn yn eich helpu i adnabod cwestiynau a allai fod yn wahaniaethwyr gwael o berfformiad myfyrwyr.
Defnyddir dadansoddiad eitemau i wneud y canlynol:
Gwella cwestiynau ar gyfer profion yn y dyfodol neu i addasu credyd ar gyfer ymgeisiau cyfredol
Trafod canlyniadau profion â’ch dosbarth
Cynnig cymorth ar gyfer gwaith gwella
Gwella safon yr addysgu yn yr ystafell ddosbarth
Enghraifft:
Ar ôl dadansoddi eitemau, rydych yn sylwi bod y mwyafrif o’r myfyrwyr wedi ateb yr un cwestiwn yn anghywir. Pam hynny?
Ydy geiriad y cwestiwn yn ddryslyd?
Ydy opsiynau'r atebion yn aneglur?
A gafodd y myfyrwyr y cynnwys cywir i’w galluogi i ateb y cwestiwn?
A oedd y cynnwys i’w ddysgu yn ddealladwy ac yn eglur?
Yn seiliedig ar beth rydych yn ei ddarganfod, gallwch wella ar y cwestiwn fel ei fod yn wir yn asesu beth mae’ch myfyrwyr yn ei wybod, a beth dydyn nhw ddim yn ei wybod.
Rhedeg dadansoddiad eitem ar brawf
Gallwch gynnal dadansoddiad eitemau ar brawf y mae’r myfyrwyr wedi ei gwblhau, ond nid ar holiadur.
Gall y prawf gynnwys cwestiynau y gellir cynnig ateb iddynt fwy nag unwaith, setiau o gwestiynau, blociau ar hap, cwestiynau a gaiff eu marcio’n awtomatig, a chwestiynau y mae’n rhaid ichi eu marcio â llaw. Yn achos cwestiynau y mae’n rhaid eu marcio â law, bydd ystadegau ond yn cael eu cynhyrchu ar gyfer cwestiynau sydd wedi eu sgorio. Ar ôl marcio cwestiynau â llaw, gwnewch y dadansoddiad eto. Mae'r ystadegau ar gyfer cwestiynau a raddiwch eich hun yn cael eu creu a bydd yr ystadegau ar grynodeb y profion yn cael eu diweddaru.
I sicrhau’r canlyniadau gorau, gwnewch ddadansoddiad o brawf unwaith bod y myfyrwyr wedi cyflwyno pob ymgais, ac ar ôl ichi farcio pob cwestiwn y mae angen ei farcio â llaw. Byddwch yn ymwybodol bod nifer yr ymgeisiau, y math o fyfyrwyr sydd wedi gwneud y prawf a’r tebygolrwydd o wallau oll yn effeithio ar yr ystadegau.
Gall y rhai sydd â’r hawl i farcio gwaith - hyfforddwyr, marcwyr a chynorthwywyr addysgu - ddefnyddio dadansoddiad eitemau mewn tri lleoliad yn llif gwaith y prawf.
Prawf a roddir mewn maes cynnwys
Rhestrir profion sydd wedi eu rhoi ar dudalen Profion.
Colofn prawf yn y Ganolfan Raddau.
Ewch i ddewislen y prawf a dewiswch Dadansoddi Eitem
Yn newislen Dewis Prawf, dewiswch brawf. Rhestrir profion a ddefnyddiwyd yn unig.
Pwyswch Rhedeg
Cliciwch ar ddolen yr adroddiad newydd yn adran Dadansoddiad ar gael neu cliciwch ar Gweld Dadansoddiad

Nodyn
Gallwch weld dadansoddiad a wnaed eisoes yn adran Dadansoddiad ar gael.
Crynodeb o’r prawf ar dudalen Dadansoddiad Eitemau
Mae Crynodeb Prawf yn darparu data cyffredinol am y prawf cyfan.

Trwy Golygu Prawf gallwch fynd at Gynfas y Prawf, ac yn y fan honno gallwch addasu’r prawf.
Gweld ystadegau am y prawf:
Pwyntiau Posibl: Cyfanswm nifer y pwyntiau ar gyfer y prawf.
Cwestiynau Posibl: Cyfanswm nifer y cwestiynau yn y prawf.
Ymgeisiau Ar y Gweill: Nifer y Myfyrwyr sy'n cymryd y prawf ar hyn o bryd sydd heb ei gyflwyno eto.
Ymdrechion wedi'u Cwblhau: Nifer y profion a gyflwynwyd.
Sgôr Cyfartalog: Mae sgoriau wedi'u dynodi â seren yn dangos nad yw rhai ymdrechion yn cael eu graddio ac y gallai'r sgôr gyfartalog newid ar ôl graddio pob ymgais. Y sgôr a ddangosir yw’r sgôr cyfartalog ar gyfer y prawf yn y Ganolfan Raddau.
Amser cyfartalog: Yr amser cwblhau cyfartalog ar gyfer yr holl ymdrechion a gyflwynwyd.
Gwahaniaethu: Mae hyn yn dangos nifer y cwestiynau sy’n perthyn i gategorïau Da (mwy na 0.3), Gweddol (rhwng 0.1 a 0.3) a Gwael (llai na 0.1). Rhestrir gwerth gwahaniaethu fel Ni Ellid Cyfrifo pan fo cymhlethdod y cwestiwn yn 100% neu pan fo pob myfyriwr wedi derbyn yr un sgôr am gwestiwn. Mae cwestiynau sydd â gwerthoedd gwahaniaethu yng nghategorïau Da a Gweddol yn gallu gwahaniaethu’n well rhwng myfyrwyr sydd â lefelau uwch ac is o wybodaeth. Dylech adolygu cwestiynau sydd yng nghategori Gwael.
Anhawster: Mae hyn yn dangos nifer y cwestiynau sy’n perthyn i gategorïau Hawdd (uwch na 80%), Canolig (rhwng 30% ac 80%) ac Anodd (llai na 30%). Anhawster yw canran y myfyrwyr sydd wedi ateb y cwestiwn yn gywir. Dylech adolygu cwestiynau yng nghategorïau Hawdd neu Anodd, ac maent wedi eu dynodi â chylch coch.
Nodyn
Eitemau graddedig yn unig a ddefnyddir mewn cyfrifon dadansoddiad eitem. Pan fydd y myfyrwyr wrthi’n cwblhau prawf, caiff yr ymgeisiau hyn eu hanwybyddu hyd nes ichi redeg y dadansoddiad ar ôl i’r myfyrwyr ei gyflwyno.
Tabl ystadegau cwestiynau ar y dudalen Dadansoddi Eitemau
Mae tabl ystadegau cwestiwn yn darparu ystadegau dadansoddiad eitem ar gyfer pob cwestiwn yn y prawf. Mae’r cwestiynau hynny y dylech fwrw golwg drostynt wedi eu dynodi â chylchoedd coch, fel bod modd ichi ddod o hyd iddynt yn hawdd.
Yn gyffredinol, mae cwestiynau da yn cwympo yn y categorïau hyn:
Canolig cymhlethdod (rhwng 30% a 80%)
Da neu Gweddol gwerthoedd gwahaniaethu (uwch na 0.1)
Yn gyffredinol, mae’r cwestiynau hynny y dylech fwrw golwg drostynt yn cwympo yn y categorïau hyn. Gallant fod o ansawdd gwael neu wedi'u sgorio'n anghywir.
Hawdd ( > 80%) neu Anodd cymhlethdod (< 30%)
Poor ( < 0.1) gwerthoedd gwahaniaethu

Hidlwch y tabl cwestiynau yn ôl Math o Gwestiwn, Gwahaniaethu, a Rhwyddineb.
I archwilio cwestiwn penodol, cliciwch ar y teitl a bwriwch olwg dros dudalen Manylion Cwestiwn.
Mae’r ystadegau am bob cwestiwn i’w gweld yn y tabl:
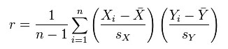
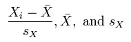
Gwahaniaethu: Mae hyn yn dangos pa mor dda mae cwestiwn yn gwahaniaethu rhwng y myfyrwyr hynny sydd â dealltwriaeth dda o’r pwnc a’r rhai sydd heb. Mae cwestiwn yn wahaniaethwr da pan fydd myfyrwyr sy'n ateb y cwestiwn yn gywir hefyd yn gwneud yn dda ar y prawf. Gall gwerthoedd amrywio o -1.0 i +1.0. Mae cwestiwn yn cael ei nodi i'w adolygu os yw ei werth gwahaniaethu yn llai na 0.1 neu'n negyddol. Does dim modd i werthoedd gwahaniaethu gael eu cyfrifo pan fo gan gwestiwn sgôr cymhlethdod o 100% neu pan fo pob un o’r myfyrwyr wedi derbyn yr un sgôr ar gyfer cwestiwn.
Cyfrifir gwerthoedd gwahaniaethu gyda chyfernod cydberthynas Pearson. Mae X yn cynrychioli sgoriau pob myfyriwr ar gyfer cwestiwn penodol ac mae Y yn cynrychioli sgoriau pob myfyriwr ar gyfer y prawf cyfan.

Y newidynnau hyn yw’r sgôr safonol, y cymedr sampl a’r gwyriad safonol sampl, yn y drefn honno.

Anhawster: Canran y Myfyriwr a atebodd y cwestiwn yn gywir. Mae'r ganran anhawster wedi'i rhestru ynghyd â'i gategori: Hawdd (mwy nag 80%), Canolig (30% i 80%), a Caled (llai na 30%). Gall gwerthoedd anhawster amrywio o 0% i 100% gyda chanran uchel yn nodi bod y cwestiwn yn hawdd. Amlygir cwestiynau yn y categorïau hawdd neu anodd ar gyfer eu hadolygu.
Mae lefelau o gymhlethdod sydd ychydig yn uwch na hanner ffordd rhwng sgoriau perffaith a sgoriau hap a damwain yn fwy llwyddiannus wrth wahaniaethu rhwng y myfyrwyr hynny sy’n deall deunydd y prawf a’r rhai nad ydynt yn ei ddeall. Nid yw lefelau uchel o gymhlethdod yn cyfateb i lefelau uchel o wahaniaethu.
Ymdrechion wedi'u graddio: Nifer yr ymdrechion cwestiynau lle mae'r graddio wedi'i gwblhau. Mae nifer uwch o ymgeisiau graddedig yn cynhyrchu ystadegau cyfrifedig mwy dibynadwy.
Sgôr Cyfartalog: Mae sgoriau wedi'u dynodi â seren yn dangos nad yw rhai ymdrechion yn cael eu graddio ac y gallai'r sgôr gyfartalog newid ar ôl graddio pob ymgais. Y sgôr a ddangosir yw’r sgôr cyfartalog ar gyfer y prawf yn y Ganolfan Raddau.
Gwyriad Safonol: Mesur pa mor bell mae'r sgoriau'n gwyro o'r sgôr gyfartalog. Os yw’r sgoriau yn debyg iawn i’w gilydd, lle bod y rhan fwyaf o werthoedd yn debyg iawn i’r cymedr, yna bydd y gwyriad safonol yn fach. Os yw’r data a osodwyd wedi ei ddosbarthu’n eang, gyda gwerthoedd yn bell o’r un cyfartalog, mae’r gwyriad safonol yn fwy.
Gwall Safonol: Amcangyfrif o faint o amrywioldeb yn sgôr Myfyriwr oherwydd siawns. Y lleiaf yw'r mesur gwall safonol, y mwyaf effeithiol yw'r mesur a ddarperir gan y cwestiwn prawf.
Gweld manylion cwestiwn ar gyfer un cwestiwn
Gallwch archwilio’r cwestiynau hynny y dylech fwrw golwg drostynt a gweld perfformiad y myfyrwyr.
Ar dudalen Dadansoddi Eitem, ewch at y tabl sy’n cynnwys ystadegau am y cwestiynau. Cliciwch ar deitl cwestiwn i fynd i dudalen Manylion Cwestiwn.

Defnyddiwch yr eiconau Tudalen Flaenorol a Tudalen Nesaf i fynd trwy’r cwestiynau fesul un. Gallwch fynd syth ymlaen i’r cwestiwn olaf hefyd, a mynd syth yn ôl i’r cwestiwn cyntaf.
Dewiswch Golygu Prawf i fynd at Gynfas y Prawf, lle gallwch addasu’r prawf.
Mae’r tabl crynodeb yn dangos yr ystadegau am y cwestiwn. Gallwch fwrw golwg dros ddisgrifiadau pob ystadegyn yn yr adran flaenorol.
Bydd testun y cwestiwn a’r dewisiadau o ran atebion yn ymddangos. Bydd y wybodaeth yn amrywio yn dibynnu ar y math o gwestiwn:
Math o Wybodaeth a Roddwyd | Mathau o Gwestiynau |
|---|---|
Nifer y myfyrwyr a ddewisodd pob dewis o ateb -A- Dosbarthiad yr atebion hynny ymhlith y chwartelau dosbarth | Amlddewis Ateb Lluosog Gwir/Gau Naill ai/Neu Graddfa Barn/Likert |
Nifer y myfyrwyr a ddewisodd pob dewis o ateb | Cyfateb Trefnu Llenwi Bylchau |
Nifer y myfyrwyr a atebodd y cwestiwn yn gywir ac yn anghywir a nifer y myfyrwyr nad atebodd y cwestiwn o gwbl. | Fformiwla sydd wedi’i Chyfrifo Rhifol wedi'i Gyfrifo Llenwi'r Bwlch Man Poeth Bowlen Gwis |
Testun y cwestiwn yn unig | Traethawd Ymateb Ffeil Ateb Byr Brawddeg Gymysg - hefyd yn cynnwys yr atebion a ddewiswyd gan Myfyrwyr ohonynt |
Eglurhad o’r Symbolau
Mae symbolau i’w gweld wrth ochr y cwestiynau i dynnu’ch sylw at broblemau.

Adolygiad a argymhellir: Wedi'i sbarduno pan fydd gwerthoedd gwahaniaethu yn llai na 0.1. Cewch y rhybudd hwn pan fo’r gwerthoedd cymhlethdod naill ai’n fwy nag 80% (roedd y cwestiwn yn rhy hawdd) neu’n llai na 30% (roedd y cwestiwn yn rhy anodd). Adolygwch y cwestiwn i bennu a oes angen ei adolygu.
Efallai y bydd y cwestiwn wedi newid ar ôl ei ddefnyddio: Yn nodi bod rhan o'r cwestiwn wedi newid ar ôl i'r prawf gael ei ddefnyddio. Os felly, mae’n bosibl na fydd y data am y rhan honno o’r cwestiwn yn ddibynadwy. Gallai ymgeisiau a gyflwynwyd ar ôl newid y cwestiwn fod wedi manteisio ar y newid.
Nodyn
Nid yw’r dangosydd hwn yn ymddangos yn achos cyrsiau sydd wedi eu hadfer.
Nid yw pob cyflwyniad wedi'i gradd: Yn ymddangos ar gyfer prawf sy'n cynnwys cwestiynau sydd angen graddio â llaw, fel cwestiynau Traethawd. Mewn prawf sy’n cynnwys cwestiwn traethawd â 50 o ymgeisiau er enghraifft, bydd y dangosydd hwn i’w weld hyd nes eich bod wedi marcio pob un o’r 50 o ymgeisiau. Mae’r dadansoddiad hwn ond yn seiliedig ar ymgeisiau sydd wedi eu marcio.
(QS) a (RB): Nodwch fod cwestiwn wedi dod o set cwestiynau neu floc ar hap. Oherwydd bod y cwestiynau’n cael eu cyflwyno ar hap, mae’n bosibl y bydd rhai cwestiynau wedi cael mwy o atebion nag eraill.
Ymdrechion lluosog, diystyru cwestiynau, a golygiadau cwestiynau
Mae’r dadansoddiad yn mynd i’r afael â chwestiynau a atebwyd sawl gwaith, cwestiynau a ddiystyrwyd a sefyllfaoedd cyffredin eraill fel a ganlyn:
Pan fo myfyrwyr yn sefyll prawf fwy nag unwaith, yr ymgais olaf a gaiff ei ddadansoddi. Er enghraifft, yn achos prawf y gellir ei sefyll dair gwaith, mae Myfyriwr A wedi ymgeisio ddwywaith yn barod ac mae wrthi’n ceisio am y trydydd tro. Mae ymgais bresennol Myfyriwr A yn cyfrif tuag at y rhif a restrir yn Ymgeisiau ar Waith. Ni chaiff ymgeisiau eraill Myfyriwr A eu cynnwys yn y dadansoddiad. Cyn gynted ag y bydd Myfyriwr A yn cyflwyno’i drydedd ymgais, bydd dadansoddiadau dilynol yn cynnwys y drydedd ymgais honno.
Nid yw marciau a newidiwyd yn y Ganolfan Raddau yn effeithio ar ddata’r dadansoddiad, oherwydd bod y dadansoddiad yn cynhyrchu data ystadegol am y cwestiynau ar sail ymgeisiau gorffenedig y myfyrwyr.
Nid yw gwybodaeth am gwestiynau a farciwyd â llaw neu newidiadau i destun cwestiynau, y dewis o atebion cywir, credyd rhannol na phwyntiau yn cael ei diweddaru’n awtomatig yn adroddiad y dadansoddiad. Gwnewch y dadansoddiad eto i weld a yw’r newidiadau wedi effeithio ar y data.
Enghreifftiau
Gall dadansoddiad eitemau eich helpu i wella ar gwestiynau ar gyfer y tro nesaf y cynhelir y prawf. Gallwch addasu cwestiynau sy’n gamarweiniol neu’n amwys ar brawf presennol hefyd.
Mae’r system wedi tynnu’ch sylw at Gwestiwn Amlddewis y dylech fwrw golwg drosto. Dewisodd mwy o fyfyrwyr sydd yn y 25% Uchaf ateb B, er mai ateb A sy’n gywir. Rydych yn sylweddoli na roddoch yr ateb cywir pan greoch chi’r cwestiwn. Rydych yn addasu cwestiwn y prawf a chaiff ei ailfarcio’n awtomatig.
Mewn cwestiwn Amlddewis, mae nifer cyfartal o fyfyrwyr yn dewis A, B ac C. Dylech fwrw golwg dros yr atebion a gwirio nad ydynt yn amwys neu’n rhy anodd, neu i wirio a gafodd y deunydd ei drafod.
Argymhellir adolygu cwestiwn oherwydd ei bod yn cwympo yn y categori caled. Rydych yn pennu bod y cwestiwn yn anodd, ond rydych yn ei gadw er mwyn profion amcanion eich cwrs yn briodol.