Wiskundige editor
Je kunt wiskundige vergelijkingen en formules invoegen in toetsen, opdrachten, discussies en dagboeken met de wiskundige editor. Je kunt ook LaTeX-formules typen in elke editor voor tekst met opmaak waar de wiskundige editor mogelijk is. De wiskundige editor werkt op iedere browser en ieder besturingssysteem, ook op smartphones en tablets. Indien geactiveerd, rendert MathJax de LaTeX-code die is ingevoerd in de inhoudseditor in ondersteunde gebieden van Blackboard. Als MathJax niet is geactiveerd, zal Wiris formules renderen.
Wiskundige formules worden weergegeven in de PNG-afbeeldingsindeling, wat een grotere bestandsgrootte heeft dan tekst. Het kan een paar seconden duren voordat de afbeelding met de wiskundige formule wordt weergegeven.
De snelheden van internetverbindingen en de inhoudsgrootte hebben invloed op de laadtijd. Het is mogelijk dat sommige studenten moeite hebben met het openen van inhoud met veel formuleafbeeldingen.
Enkele aanbevelingen om de afbeeldingsgrootte van formules en de laadtijd te beperken:
Maak elke formule afzonderlijk met de wiskundige editor of LaTeX.
Voeg geen vraagbeschrijvingen of extra tekst toe in de wiskundige editor of LaTeX-code. Gebruik de editor voor tekst met opmaak om vragen, instructies of tekstbeschrijvingen te schrijven, en gebruik alleen de wiskundige editor of LaTeX om de wiskundige formules te maken.
Een cursusleider schrijft bijvoorbeeld een wiskundeprobleem over versnelling in een toets. Om het inhoudsbestand kleiner te maken, schrijft de cursusleider de beschrijving van het probleem en de variabelenwaarden rechtstreeks in de editor voor tekst met opmaak als tekst zonder opmaak. Vervolgens schrijft de cursusleider de versnellingsformule met behulp van de wiskundige editor.

Informatie over de wiskundige editor
Je kunt de wiskundige editor openen door de+ in de editor voor tekst met opmaak te selecteren. Selecteer Wiskunde in het menu.

Je hebt toegang tot veel functies in de wiskundige editor door bovenaan verschillende tabbladen te selecteren.

Gebruik het toetsenbord om cijfers, letters en symbolen in te voeren. Selecteer het juiste pictogram in de wiskundige editor om complexe formules te maken, zoals het maken van een vierkantswortel.
Tip
Als je een optie gebruikt om het niveau van de tekst voor de formule te wijzigen, zoals subscript of een breuk, gebruik je de pijltoetsen op je toetsenbord om terug te gaan naar het standaardniveau. We raden je aan om met het toetsenbord te navigeren binnen een formule.

Enkele opties voor het opstellen van formules in de wiskundige editor zijn:
Basisbewerkingen: optellen, aftrekken, vermenigvuldigen, delen, vierkantswortels, exponenten, breuken
Grieks alfabet: alfa, bèta, gamma en andere
Matrixwiskunde
Integralen, afgeleide functies en limieten
Trigonometrische functies: sinus (sinus), cosinus (cos), tangens (tan)
Tekenstijlen en -grootten
De WIRIS website bevat gedetailleerde informatie over alle functies van de wiskundige editor.
LaTeX gebruiken in de editor voor tekst met opmaak
LaTeX is een software die kan worden gebruikt om een afbeelding van een formule te maken op basis van codeerconventies die zijn geschreven met tekst zonder opmaak. In de editor voor tekst met opmaak van Learn kan LaTeX-codering weergegeven worden.
Opmerking
Formules die meerdere regels beslaan in LaTeX kunnen niet weergegeven worden door de editor voor tekst met opmaak van Learn. Formules van meerdere regels beginnen met /begin en eindigen op /end.
Voer een LaTeX-formule in door de specifieke code te schrijven met $$-symbolen in de editor voor tekst met opmaak.
Selecteer Opslaan om te zien hoe de formule wordt weergegeven als een afbeelding. Je kunt teruggaan naar de editor voor tekst met opmaak om de formule te bewerken totdat deze goed wordt weergegeven. Voor sommige activiteiten, zoals toetsen en opdrachten, kunnen studenten geen tekst opslaan in de editor voor tekst met opmaak en een voorbeeld bekijken van de weergegeven LaTeX-formule. Studenten moeten hun inzending achteraf controleren om er zeker van te zijn dat hun formule juist is weergegeven.
Het is niet mogelijk de editor voor tekst met opmaak te gebruiken om de weergave van de formules te wijzigen, zoals vetgedrukt maken of de tekengrootte veranderen. Als je tekenstijlen of -grootten van de formule wilt wijzigen, kun je in de formule in de editor voor tekst met opmaak klikken en vervolgens de wiskundige editor selecteren. Alle wijzigingen die je in de wiskundige editor aanbrengt, worden doorgevoerd wanneer je de code opslaat en toevoegt aan de LaTeX-code.
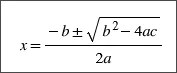
Voorbeeld van een formule die is opgemaakt in LaTeX
De kwadratische formule kan opgemaakt worden in LaTeX.

1. Voer $$ in de editor voor tekst met opmaak in.
$$
2. Voer vervolgens de LaTex-code voor de formule in:
$$x = \frac {-b \pm \sqrt {b^2 - 4ac}}{2a}
3. Sluit je formule door $$ aan het einde in te voeren.
$$x = \frac {-b \pm \sqrt {b^2 - 4ac}}{2a}$$

4. Selecteer Opslaan in de editor voor tekst met opmaak. De wiskundige formule wordt weergegeven als PNG-afbeelding. Het weergeven van de afbeelding kan enkele seconden duren, afhankelijk van je internetverbinding en de grootte van de inhoud.

5. Selecteer Bewerken in de editor voor tekst met opmaak om terug te gaan naar je LaTeX-code.

6. Bewerk je formule om je LaTeX-code te overschrijven als tekst zonder opmaak in de editor voor tekst met opmaak. Voeg bijvoorbeeld een +1 toe aan het einde van de formule.
$$x = \frac {-b \pm \sqrt {b^2 - 4ac}}{2a}+1$$

7. Selecteer Opslaan om de formule als een nieuwe afbeelding weer te geven.

8. Je kunt de stijl van de formule verder aanpassen. Klik in de editor voor tekst met opmaak ergens in de LaTeX-code.

Open de wiskundige editor.

Pas de gewenste stijlen toe op de formule. Je kunt bijvoorbeeld een deel van de formule vetgedrukt maken en de tekengrootte wijzigen.

9. Selecteer Opslaan in de wiskundige editor. De LaTeX-code voor de kwadratische formule met je stijlaanpassingen is nu:
$$\style{font-size:36px}{x=\frac{-b\pm\sqrt{\boldsymbol b^{\mathbf2}\boldsymbol-\mathbf4ac}}{2a}+1}$$

10. Selecteer Opslaan in de editor voor tekst met opmaak om de aangepaste formule weer te geven als een afbeelding.

Toegankelijkheidsfuncties
Afbeeldingen van wiskundige formules zijn van hoge kwaliteit, zodat gebruikers kunnen inzoomen en de afbeelding nog steeds duidelijk is. Je kunt ook de tekengrootte aanpassen om je studenten te helpen. Bij grotere tekengrootten kunnen studenten de details van een formule met kleine letters en symbolen beter zien.
Formules zijn toegankelijk voor schermlezers als je ze maakt en wanneer ze als afbeeldingen worden weergegeven.

Er wordt automatisch alternatieve tekst voor wiskundige formules gegenereerd op basis van de taalinstelling in je profiel in Learn. Schermlezers volgen de lokale apparaatinstellingen, waaronder de taal, snelheid en spraak. Voor een betere ervaring met je schermlezer en alternatieve tekst moet je ervoor zorgen dat de taalinstelling in Learn overeenkomt met de instellingen op je lokale apparaat.

Opmerking
Als een taal niet wordt ondersteund door de wiskundige editor of editor voor tekst met opmaak, worden formules in het Engels gelezen.