تحليل الأسئلة
يوفر تحليل الأسئلة إحصائيات حول الأداء الكلي وجودة التقييم والأسئلة الفردية. وتساعدك هذه البيانات على التعرف على الأسئلة التي يمكن أن تميز الأداء الضعيف للطالب. تحليل الأسئلة مخصص للتقييمات مع الأسئلة. ويمكنك تشغيل تقرير قبل ظهور جميع الواجبات المرسلة في حالة الرغبة في التحقق من جودة الأسئلة وإجراء التغييرات.
الاستخدامات الخاصة بتحليل العناصر:
تحسين الأسئلة الخاصة بالتقييمات المستقبلية أو تعديل رصيد الدرجات في المحاولات الحالية
مناقشة نتائج التقييم مع الفصل الدراسي الخاص بك
توفير قاعدة لمعالجة أوجه الضعف
تحسين إمكانات التدريس في حجرة الدراسة
مثال:
افترض أنك لاحظت بعد تحليل الأسئلة إجابة معظم الطلاب على أحد الأسئلة بشكل غير صحيح. ما السبب في وجود معدل نجاح منخفض؟
هل كلمات السؤال مربكة؟
هل خيارات الإجابة غير واضحة؟
هل تم منح الطلاب المحتوى المناسب للإجابة بنجاح على هذا السؤال؟
هل كان محتوى التعلم سهل الوصول إليه وواضح؟
بناءً على ما تكتشفه، يمكنك تحسين السؤال لتقييم ما استطاع الطلاب استيعابه حقًا أو ما لم يستطيعوا استيعابه.
الوصول إلى تحليل التقييم
يمكنك تشغيل أحد تقارير تحليل الأسئلة السابقة والوصول إليه من مناطق المقرر الدراسي هذه:
صفحة محتوى المقرر الدراسي > قائمة التقييمات
صفحة تحليلات المقرر الدراسي > علامة التبويب سؤال تحليلي —إذا قامت مؤسستك بتمكين التحليلات
دفتر التقديرات
في الصفحة محتوى المقرر الدراسي، قم بالوصول إلى قائمة التقييمات وحدد سؤال تحليلي. يمكنك أيضًا تحديد رمز التحليلات الموجود على شريط التنقل.

يمكنك أيضًا تشغيل تقرير تحليل الأسئلة من دفتر التقديرات. قم بالوصول إلى قائمة التقييمات وحدد سؤال تحليلي.

صفحة تحليل الأسئلة
لا يمكن الوصول إلى الصفحة سؤال تحليلي إلا من شريط التنقل > التحليلات > صفحة تحليلات المقرر الدراسي > علامة التبويب سؤال تحليلي.

يمكنك تشغيل تقرير عن أحد التقييمات مصحوبًا بالواجبات المرسلة مع عدم طرح أسئلة، ولكنك ستتلقى تقريرًا لا يحتوي على معلومات قابلة للاستخدام.
ستتلقى رسالة تفيد بأن تقرير تحليل الأسئلة قيد التقدم ورسالة بريد الكتروني عند اكتمال التقرير. ويمكنك ترك الصفحة للعمل في مناطق أخرى من مقررك الدراسي والرجوع إليها في وقت لاحق لمعرفة ما إذا كان التقرير جاهزًا أم لا.

يظهر كل تقييم في مقررك الدراسي بإحدى الحالات التالية:
التقرير قيد التقدم
تم الإكمال في {date}
لم تعد البيانات محدثة: يحتوي التقييم الآن على المزيد من الواجبات المرسلة لتحليلها.
لا توجد بيانات كافية: لا توجد عمليات إرسال. تم تعطيل تشغيل التقرير.
لا توجد أسئلة في التقييم: لا يحتوي التقييم على أسئلة أو تقديمات. تم تعطيل تشغيل التقرير.
لا توجد حالة مدرجة: يحتوي التقييم على أسئلة وواجبات مرسلة، ولكنك لم تقم بتشغيل أي تقرير. تم تمكين تشغيل التقرير.
خطأ: تشغيل
عرض ملخص تقييم تحليل الأسئلة
بعد بتشغيل التقرير، يمكنك عرض معلومات التلخيص العامة والتفاصيل الخاصة بكل سؤال. حدد التقييم من صفحة تحليل الأسئلة لعرض الملخص.
ملاحظة
يتم استخدام المحاولات المرسلة فقط في العمليات الحسابية. وعند وجود محاولات قيد التقدم، يتم تجاهل هذه المحاولات إلى أن يتم إرسالها وقيامك بتشغيل تقرير تحليل العناصر مرة أخرى. ولا يتم تضمين الأصفار التلقائية المعينة للعمل المتأخر في العمليات الحسابية.

ملخص إحصائيات التقييم الفردي:
متوسط الدرجات: الدرجة المعروضة هي متوسط الدرجة التي تم الإبلاغ عنها للتقييم في دفتر التقديرات. ويمكن أن يتغير متوسط الدرجات في حالة إرسال المزيد من المحاولات وتقديرها.
الأسئلة المحتملة: إجمالي عدد الأسئلة في التقييم.
المحاولات المنجزة: عدد التقييمات المقدمة.
متوسط الوقت المستغرق: متوسط وقت الإكمال لجميع المحاولات المرسلة.
أعد تشغيل أحد التقارير أو قم بتحرير التقييم لإجراء تغيير على الأسئلة.
استخدم الرسوم البيانية لتصفية جدول الأسئلة. وقم بإجراء التحديدات في كلا الرسمين البيانيين لتنقيح بحثك. في حالة عدم قيامك بإجراء أي تحديدات، ستظهر جميع الأسئلة في الجدول في الجزء السفلي من الصفحة.
التمييز: يشير إلى مدى جودة التمييز بين الأسئلة بين الطالب الذين يعرفون الموضوع وأولئك الذين لا يعرفون.
إظهار عدد الأسئلة التي تقع في هذه الفئات:
جيد (أكبر من 0.3)
مقبول (بين 0.1 و 0.3)
الفئات ضعيف (أقل من 0.1)
لا يمكن حساب: صعوبة السؤال هي 100٪ أو حصل جميع الطالب على نفس الدرجة في سؤال ما.
تُميز الأسئلة ذات قيم تمييز المستوى في الفئتين جيدة ومقبولة بين الطلاب ذوي المستويات العليا والدنيا من المعرفة.
يوصى بمراجعة الأسئلة الموجودة ضمن الفئة ضعيفة.
الصعوبة: النسبة المئوية للطالب الذين أجابوا على الأسئلة بشكل صحيح
إظهار عدد الأسئلة التي تقع في هذه الفئات:
سهل (أكبر من 80%)
متوسط (بين 30% و80%)
Hard (صعب) (أقل من 30%)
يوصى بمراجعة الأسئلة الموجودة في الفئتين سهلة أو صعبة
حدد عنوانًا لفرز الأسئلة. على سبيل المثال، قم بفرز العمود مراجعة بحيث تظهر الأسئلة التي تحتاج إلى المراجعة أولاً.
مسح عوامل التصفية: قم بمسح عوامل التصفية التي حددتها في الرسوم البيانية واعرض جميع الأسئلة في الجدول.
قم بتنزيل تقرير تحليل الأسئلة.
حول قسم الأسئلة في ملخص التقييم
يوفر جدول الأسئلة إحصائيات تحليل لكل سؤال في التقييم. بعد قيامك باستخدام الرسوم البيانية لتصفية جدول الأسئلة، يمكنك عرض النتائج وفرزها.
وبوجه عام، توجد الأسئلة الجيدة ضمن هذه الفئات:
مستوى صعوبة متوسط (من 30% إلى 80%)
قيم تمييز مستوى جيدة أو مقبولة (أكبر من 0.1)
وبوجه عام، توجد الأسئلة الموصى بمراجعتها ضمن هذه الفئات. وهذه قد تكون ذات جودة منخفضة أو تم تسجيلها بشكل صحيح.
درجة الصعوبة سهل ( > 80%) أو Hard (صعب) ( < 30%)
قيم تمييز المستوى ضعيف ( < 0.1)
تذكير: إذا لم تقم بإجراء أي تحديدات، فستظهر جميع الأسئلة في الجدول أسفل الصفحة.

للتحقق من مجموعة الأسئلة معينة، حدد العنوان وراجع تفاصيل مجموعة الأسئلة.
تظهر المعلومات الخاصة بكل سؤال في الجدول:
يحتاج إلى مراجعة: يتم تشغيله عندما تكون قيم التمييز أقل من 0.1. وأيضًا، عندما تكون قيم مستوى الصعوبة إما أكبر من 80% (السؤال سهل للغاية) أو أقل من 30% (السؤال صعب للغاية). يجب مراجعة السؤال لتحديد ما إذا كان يحتاج إلى المراجعة.
تم تعديل السؤال: يعرض نعم إذا قمت بتشغيل تقرير، ثم قم بتغيير جزء من سؤال، وأعد تشغيل التقرير. وتظهر نعم أيضًا في حالة قيامك بنسخ السؤال من تقييم آخر عند قيامك بإنشاء التقييم.
ملاحظة
في حالة ظهور الخيار "نعم" في عمود "السؤال المعدل" لسؤال ما، لا يتم تنفيذ الخيار نعم عند أرشفة المقرر الدراسي واستعادته.
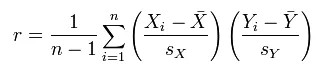
التمييز: يشير إلى مدى تمييز السؤال بين الطالب الذين يعرفون الموضوع وأولئك الذين لا يعرفون. ويعتبر السؤال عامل تمييز جيد للمستوى عند قيام الطلاب الذين أجابوا على السؤال بشكل صحيح بأداء جيد في التقييم أيضًا. يمكن أن تتراوح القيم من -1.0 إلى +1.0. يتم وضع علامة على السؤال للمراجعة إذا كانت قيمة التمييز الخاصة به أقل من 0.1 أو سلبية. ولا يمكن احتساب قيم تمييز المستوى عندما تكون درجة صعوبة السؤال 100% أو عند حصول جميع الطلاب على نفس الدرجة المخصصة للسؤال.
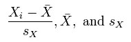
يتم احتساب قيم تمييز المستوى باستخدام معامل ارتباط Pearson. تمثل X درجات كل طالب عن السؤال، وتمثل Y درجات كل طالب على التقييم.

تعد هذه المتغيرات هي الدرجة القياسية والمتوسط النموذجي والانحراف المعياري النموذجي، على التوالي:

الصعوبة: النسبة المئوية للطالب الذين أجابوا على السؤال بشكل صحيح. يتم سرد نسبة الصعوبة جنبا إلى جنب مع فئتها: سهل (أكبر من 80٪) ، متوسط (30٪ إلى 80٪) ، و صعب (أقل من 30٪). ويمكن أن تتراوح قيم الصعوبة من 0% إلى 100%. وتشير النسبة المئوية المرتفعة إلى أن السؤال كان سهلاً. يتم وضع إشارة على الأسئلة الموجودة في الفئتين "سهلة" أو "صعبة" لمراجعتها.
تعمل مستويات الصعوبة -التي تُعد أعلى قليلًا من المنطقة الفاصلة بين الدرجات الممتازة والحظ- بشكل جيد على التمييز بين الطلاب الذين يفهمون مادة الاختبار وأولئك الذين لا يفهمون. ذلك أن قيم مستوى الصعوبة العالية لا تعني بالضرورة وجود مستويات تمييز مستوى مرتفعة.
المحاولات التي تم التقدير لها: عدد محاولات الأسئلة التي اكتمل فيها التقدير. يؤدي وجود أعداد أكبر للمحاولات المقدرة إلى وجود إحصائيات محسوبة يمكن الاعتماد عليها بشكل أكبر.
متوسط الدرجات: الدرجة التي تظهر هي متوسط الدرجات التي تم الإبلاغ عنها للتقييم في دفتر التقديرات. وقد يتغير متوسط الدرجات بعد أن يتم تقدير جميع المحاولات.
عرض تفاصيل سؤال واحد
يمكنك التحقق من الأسئلة التي تم وضع إشارة عليها لمراجعتها وعرض أداء الطالب. من جدول أسئلة تحليل الأسئلة حدد أحد عناوين الأسئلة المرتبطة للوصول إلى ملخص السؤال.

بعد الوصول إلى السؤال، استخدم قائمة عناوين الأسئلة للوصول إلى أي سؤال في التقييم. ويمكنك الانتقال إلى الأسئلة الأخرى بشكل تسلسلي على أيًا من جانبي الصفحة.
يعرض جدول الملخص إحصائيات السؤال.
حدد Edit Assessment (تحرير التقييم) للوصول إلى التقييم وإجراء التغييرات.
يظهر نص السؤال واختيارات الإجابة. ويمكنك معرفة كم عدد الطلاب الذين قاموا باختيار الخيار الخاص بكل إجابة أو النسبة المئوية التي أجابت بشكل صحيح. على سبيل المثال، بالنسبة لسؤال "التوصيل"، سترى النسبة المئوية للطلاب الذين قاموا بتوصيل الأزواج بشكل صحيح. لا يظهر نص السؤال إلا للأسئلة المقالية.
حول المحاولات المتعددة وتجاوز الأسئلة وتعديلات الأسئلة
يتناول التحليل بعض السيناريوهات الشائعة بالطرق التالية:
عند قيام الطلاب بإجراء تقييم ما عدة مرات، يتم استخدام أخر محاولة تم إرسالها كمدخل للتحليل. وبمجرد أن يقوم الطالب بإرسال محاولة أخرى، ستتضمن التحليلات اللاحقة تلك المحاولة الأحدث.
لا تؤثر عمليات تجاوز دفتر التقديرات على بيانات التحليل نظرًا لقيام التحليل بإنشاء بيانات إحصائية للأسئلة التي تستند إلى محاولات الطالب المكتملة.
عند قيامك بإجراء تغييرات على أحد الأسئلة أو تقدير الأسئلة يدويًا، يجب أن تقوم بتشغيل التحليل مرة أخرى لمعرفة ما إذا كانت التغييرات تؤثر على البيانات أم لا.
أمثلة
يمكن أن يساعدك تحليل الأسئلة على تحسين الأسئلة الخاصة بعمليات إدارة التقييم في المستقبل. ويمكنك أيضًا إصلاح الأسئلة غير الواضحة أو الغامضة في التقييم الحالي.
في سؤال الاختيار من متعدد، اختار عدد متساوٍ من الطلاب "أ"، و"ب"، و"ج". تحقق من اختيارات الإجابة لتحديد ما إذا كانت غامضة، أو إذا كان السؤال صعبًا للغاية أو إذا لم تتم تغطية المادة.
يوصى بمراجعة السؤال لأنه يقع ضمن فئة الصعوبة الشديدة. حدد مدى صعوبة السؤال، واحتفظ به لكي تقوم بتقييم أهداف المقرر الدراسي بشكل ملائم.
تم وضع علامة على سؤال "اختيار من متعدد" لمراجعته. اختار Top 25% (أكثر من 25%) من الطلاب الإجابة "ب"، في حين أن الإجابة "أ" هي الإجابة الصحيحة. هذا يجعلك تدرك أنك لم تختار الإجابة الصحيحة عندما قمت بإنشاء السؤال. فأنت تقوم بتحرير سؤال التقييم ويتم إعادة تقديره تلقائيًا.
تنزيل نتائج التقييم
قد تحتاج إلى تنزيل نتائج الاختبار من أجل التحليل الخارجي والتقييم. التحليل الخارجي هامٌ لدعم الجهود الخاصة بالتقييم وجودة المقرر الدراسي. وبالإضافة إلى ذلك، غالبًا ما ترغب المؤسسات في الحصول على بيانات تقييم مجمعة من أجل أنشطة مراجعة البرامج والاعتماد.
يمكنك تنزيل نتائج التقييم من دفتر التقديرات:
من طريقة عرض التقديرات، حدد التقييم لعرض قائمة الخيارات واختر تنزيل النتائج.

من طريقة عرض "Gradable items" (العناصر القابلة للتقدير)، حدد قائمة الخيارات الخاصة بالتقييم واختر "Download Results" (تنزيل النتائج).

سوف تجد العديد من الخيارات عند تنزيل النتائج.
نوع الملف: جدول بيانات Excel (.xls) أو قيمة مفصولة بفواصل (.csv). التنسيق الافتراضي للملف هو .xls.
شكل النتائج: حسب الطالب أو حسب السؤال والطالب. الإعداد الافتراضي هو "حسب الطالب".
محاولات التنزيل: إما جميع المحاولات أو المحاولات فقط المضمنة في حساب التقدير. يمكنك تحديد المحاولات التي يجب تضمينها في حساب التقدير في إعدادات محاولات التقدير. الإعداد الافتراضي هو تنزيل المحاولات المستخدمة للحساب فقط.

يتضمن التقرير الذي يتم تنزيله المعلومات التالية:
اسم الطالب
اسم المستخدم
الأسئلة
الإجابات
حالة التقدير
أي محتوى قد قام الطالب بتضمينه مع الواجب المرسل الخاص به
نموذج لتنسيق النتيجة "Download by student" (التنزيل حسب الطالب):

نموذج لتنسيق النتيجة "Download by student and question" (التنزيل حسب الطالب والسؤال):

هام
إذا كنت تستخدم التقدير المجهول، فإن النتائج التي يتم تنزيلها تستبعد تفاصيل الطالب والدرجة إلى أن يتم نشر التقديرات لجميع الطلاب.
مشاهدة فيديو حول كيفية تنزيل نتائج التقييم
يقدم مقطع الفيديو المسرد التالي تمثيلًا مرئيًا وسمعيًا لبعض المعلومات الواردة في هذه الصفحة. للتعرّف على وصف تفصيلي لما يعرضه مقطع الفيديو، افتح مقطع الفيديو على YouTube، وانتقل إلى المزيد من الإجراءات، وحدد فتح النص.